题目内容
物体由静止开始做匀加速直线运动,加速度大小是2m/s2,它在某ls内通过的距离是15m,问:(1)物体在这ls初的速度是多大?
(2)物体在这ls以前已运动了多长时间?
(3)物体在这1s以前已经通过了多少路程?
【答案】分析:已知物体做初速度为0的匀加速直线运动,根据匀变速直线运动的规律,求初速度、时间和路程.
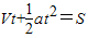
解答:解:(1)由公式
知,V=14m/s
(2)由公式V=at知,t=
=7s
(3)由公式S=
=
=49m
答:(1)物体在这ls初的速度是14m/s.
(2)物体在这ls以前已运动了7s.
(3)物体在这1s以前已经通过了49m.
点评:熟练掌握匀变速直线运动的速度时间关系、位移速度关系是解决本题的关键.
解答:解:(1)由公式
(2)由公式V=at知,t=
(3)由公式S=
答:(1)物体在这ls初的速度是14m/s.
(2)物体在这ls以前已运动了7s.
(3)物体在这1s以前已经通过了49m.
点评:熟练掌握匀变速直线运动的速度时间关系、位移速度关系是解决本题的关键.
练习册系列答案
相关题目