题目内容
如图所示,从倾角为θ的斜面上的M点水平抛出一个小球,小球的初速度为v,最后小球落在斜面上的N点,则由此( )A.可求M、N之间的距离
B.可求小球落到N点时速度的大小和方向
C.可求小球到达N点时的动能
D.可求小球运动过程中重力所做的功
【答案】分析:小球落在斜面上,可知小球在竖直方向和水平方向上的位移之比为定值,抓住平抛运动水平方向和竖直方向上的运动规律,根据位移的比值等于tanθ,求出运动的时间,从而得出水平位移,根据三角函数关系求出MN间的距离.求出竖直方向上的速度,根据合成求出到达N点的速度大小和方向.
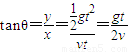
解答:解:A、由
,解得t=
,则水平位移x=
,则MN间的距离s=
.故A正确.
B、到达N点的竖直方向的速度vy=gt=2vtanθ,根据平行四边形定则可以求出合速度的大小以及方向.故B正确.
C、由于小球的质量未知,故无法求出小球的动能以及重力所做的功.故C、D错误.
故选AB.
点评:解决本题的关键知道平抛运动在水平方向上做匀速直线运动,在竖直方向上做自由落体运动.
解答:解:A、由
B、到达N点的竖直方向的速度vy=gt=2vtanθ,根据平行四边形定则可以求出合速度的大小以及方向.故B正确.
C、由于小球的质量未知,故无法求出小球的动能以及重力所做的功.故C、D错误.
故选AB.
点评:解决本题的关键知道平抛运动在水平方向上做匀速直线运动,在竖直方向上做自由落体运动.
练习册系列答案
相关题目
| A、8J | B、12J | C、14J | D、16J |