题目内容
如图所示,光滑水平面上的O处有一质量为m=2kg物体.物体受到两个水平力的作用,F1=4N,F2=(2+2x)N,x为物体相对O的位移.物体从静止开始运动,问:(1)当位移为x=0.5m时物体的加速度多大?
(2)在何位置物体的加速度最大?最大值为多少?
(3)在何位置物体的速度最大?最大值为多少?
【答案】分析:了解问题的情景,运用牛顿第二定律求解加速度.
要找加速度最大,就要找合力最大位置.
速度最大位置一般出现在加速度为0的位置,运用动能定理求出最大速度.
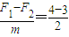
解答:解:(1)当x=0.5m时,F2=(2+2×0.5)N=3N
F1-F2=ma
a=
m/s2=0.5m/s2
(2)物体所受的合外力为F合=F1-F2=[4-(2+2x)]N=(2-2x)N
作出F合-x图如右图所示:

从图中可以看出,当x=0时,物体有最大加速度a,
F=ma
a=
m/s2=1m/s2
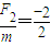
当x=2m时,物体也有最大加速度a2.
F2=ma2
a2=
m/s2=-1m/s2
负号表示加速度方向向左.
(3)当物体的加速度为零时速度最大.从上述图中可以看出,当x=1m时,a1=0,速度v1最大.
从x=0至x=1m合外力所做的功为w合=
Fx=
×2×1J=1J
根据动能定理,有EK1-0=w合=
mv12=1J
所以当x=1m时,物体的速度最大,为v1=
m/s=1m/s
答:(1)当位移为x=0.5m时物体的加速度0.5m/s2
(2)当x=0时,物体有最大加速度为1m/s2
当x=2m时,物体也有最大加速度为1m/s2
(3)当x=1m时,物体的速度最大为1m/s.
点评:能够运用数学图象处理物理问题.
能够用合力与位移的图象所包围的面积求解合力功.
要找加速度最大,就要找合力最大位置.
速度最大位置一般出现在加速度为0的位置,运用动能定理求出最大速度.
解答:解:(1)当x=0.5m时,F2=(2+2×0.5)N=3N
a=
(2)物体所受的合外力为F合=F1-F2=[4-(2+2x)]N=(2-2x)N
作出F合-x图如右图所示:
从图中可以看出,当x=0时,物体有最大加速度a,
F=ma
a=
当x=2m时,物体也有最大加速度a2.
F2=ma2
a2=
负号表示加速度方向向左.
(3)当物体的加速度为零时速度最大.从上述图中可以看出,当x=1m时,a1=0,速度v1最大.
从x=0至x=1m合外力所做的功为w合=
根据动能定理,有EK1-0=w合=
所以当x=1m时,物体的速度最大,为v1=
答:(1)当位移为x=0.5m时物体的加速度0.5m/s2
(2)当x=0时,物体有最大加速度为1m/s2
当x=2m时,物体也有最大加速度为1m/s2
(3)当x=1m时,物体的速度最大为1m/s.
点评:能够运用数学图象处理物理问题.
能够用合力与位移的图象所包围的面积求解合力功.
练习册系列答案
相关题目