题目内容
一个做匀变速直线运动的质点,其位移随时间的变化规律x=2t+3t2(m),则该质点的初速度为 m/s,加速度为 m/s2.
【答案】分析:将所给公式与匀变速直线运动位移公式进行对比即可得出正确结果.
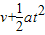
解答:解:物体做匀变速直线运动的位移公式为:x=
,题目中其位移随时间的变化规律x=2t+3t2(m),
所以v=2m/s,a=6m/s2.
故答案为:2;6
点评:本题出题思路比较巧妙,考察了学生对运动学公式的熟练程度以及类比法的应用.
解答:解:物体做匀变速直线运动的位移公式为:x=
所以v=2m/s,a=6m/s2.
故答案为:2;6
点评:本题出题思路比较巧妙,考察了学生对运动学公式的熟练程度以及类比法的应用.
练习册系列答案
相关题目
| A、v=(4+2t) m/s | B、v=(-4+2t) m/s | C、v=(-4-2t) m/s | D、v=(4-2t) m/s |
一个做匀变速直线运动的物体,其位移与运动时间的关系式为s=4t+2t2,从t=0时刻开始计时,则( )
| A、物体运动的初速度为4m/s | B、物体运动的加速度大小为2m/s2 | C、物体第2秒末的速度为8m/s | D、物体第2秒内的位移为10m |