题目内容

如图,长为a的轻质细线,一端悬挂在O点,另一端接一个质量为m的小球(可视为质点),组成一个能绕O点在竖直面内自由转动的振子.现有3个这样的振子,以相等的间隔b(b>2a)在同一竖直面里成一直线悬于光滑的平台MN上,悬点距台面高均为a.今有一质量为3m的小球以水平速度v沿台面射向振子并与振子依次发生弹性正碰,为使每个振子碰撞后都能在竖直面内至少做一个完整的圆周运动,则入射小球的速度v不能小于(    )

A.                             B.

C.                             D.

 

【答案】

C

【解析】

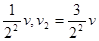
试题分析:3m和m弹性碰撞:3mv=3mv′+mv1

×3mv2=×3mv′2+,得v′=

同理3m与第二个m弹性碰撞后得v″=

3m与第三个球碰后得

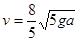
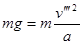
所以va>vb>vc,只要第三个球能做完整的圆周运动,则前两球一定能做完整的圆周运动.第三个球碰后,由机械能守恒,解之得故C正确,故选C

考点:考查动量守恒定律

点评:本题难度较小,应用动量守恒定律求解问题时,首先应明确研究系统,判断初末状态动量

 

练习册系列答案
相关题目

违法和不良信息举报电话:027-86699610 举报邮箱:58377363@163.com

精英家教网