题目内容
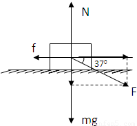
如图所示,一个放置在水平台面上的木块,其质量为2kg,受到一个斜向下的、与水平方向成37角的推力F=10N的作用,使木块从静止开始运动,4s后撤去推力,若木块与水平面间的动摩擦因数为0.1.求:(1)撤去推力F时木块的速度为多大?
(2)撤去推力F到停止运动过程中木块的加速度为多大?
(3)木块在水平面上运动的总位移为多少?
【答案】分析:(1)由题意知木块先做匀加速运动,后做匀减速运动,由速度公式可以求得撤去推力F时的速度;
(2)撤去推力后木块做匀减速运动,摩擦力作为合力,产生加速度,由牛顿第二定律可以求得加速度的大小;
(3)木块先做匀加速运动,后做匀减速运动,由速度位移的关系式可以求得总位移.
解答:解:(1)如图所示:撤去力F之前,由牛顿第二定律得:
水平方向:Fcos37°-f=ma ①
竖直方向:N-mg-Fsin37°=0 ②
又有:f=μN ③
由①②③得:a1=2.7m/s2
由运动学公式:vt=v+at ④
得,撤去力F时物块速度v=10.8m/s,
(2)撤去力F后,由牛顿第二定律F=ma 得
物块加速度a2=
=μg ⑤
解得a2=1m/s2,
(3)由运动学公式:
及④式得,
撤去力F时物块位移s1=21.6m,
由位移公式s=
及⑤式,
得撤去力F后物块位移s2=58.32m,
故物块在水平面上的总位移s=s1+s2=79.92m,
答:(1)撤去推力F时木块的速度为10.8m/s;
(2)撤去推力F到停止运动过程中木块的加速度为1m/s2;
(3)木块在水平面上运动的总位移为79.92m.
点评:分析清楚物体运动的过程,直接应用牛顿第二定律和匀变速直线运动的规律求解即可,题目较简单.
(2)撤去推力后木块做匀减速运动,摩擦力作为合力,产生加速度,由牛顿第二定律可以求得加速度的大小;
(3)木块先做匀加速运动,后做匀减速运动,由速度位移的关系式可以求得总位移.
解答:解:(1)如图所示:撤去力F之前,由牛顿第二定律得:
水平方向:Fcos37°-f=ma ①
竖直方向:N-mg-Fsin37°=0 ②
又有:f=μN ③
由①②③得:a1=2.7m/s2
由运动学公式:vt=v+at ④
得,撤去力F时物块速度v=10.8m/s,
(2)撤去力F后,由牛顿第二定律F=ma 得
物块加速度a2=
解得a2=1m/s2,
(3)由运动学公式:
撤去力F时物块位移s1=21.6m,
由位移公式s=
得撤去力F后物块位移s2=58.32m,
故物块在水平面上的总位移s=s1+s2=79.92m,
答:(1)撤去推力F时木块的速度为10.8m/s;
(2)撤去推力F到停止运动过程中木块的加速度为1m/s2;
(3)木块在水平面上运动的总位移为79.92m.
点评:分析清楚物体运动的过程,直接应用牛顿第二定律和匀变速直线运动的规律求解即可,题目较简单.
练习册系列答案
相关题目