题目内容

(供选学物理3-1的考生做)(8分)在真空中有如图12所示的坐标系,坐标系中y>0的区域有垂直于xOy平面向里的匀强磁场,磁感应强度为By<0区域有沿y轴负方向的匀强电场,场强为E。一质量为m,电荷量为-qq>0)的粒子从坐标原点O以初速度v0沿着y轴正方向射出。求:(1)粒子被射出后第一次通过x轴时,其与O的距离;(2)从粒子被射出到其第三次通过x轴的时间。(重力可忽略不计)。  

(1)带电粒子在磁场中受洛仑兹力做匀速圆周运动,设其运动的半径为R,根据牛顿第二定律和洛仑兹力公式有qv0B=mv­02/R …………………………………………(2分)
解得R= ……………………………………………………………………………(1分)
粒子被射出后第一次通过x轴时恰好运动了半个圆周,所以其通过x轴时与O的距离为
x=2R= …………………………………………………………………………(1分)
(2)带电粒子被射出后第一次通过x轴后进入电场中做匀变速直线运动,设其加速度为a,根据牛顿第二定律有 qE=ma,解得a=qE/m……………………………………(1分)
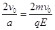
设粒子从第一次通过x轴至第二次通过x轴的时间(在电场中运动的时间)为t1,根据运动学公式有  0=v0t1-at12,解得t1=……………………………………(1分)
粒子从电场中进入磁场中再次做匀速圆周运动,当完成半个圆周时第三次通过x轴。即粒子从射出后到第三次通过x轴的过程中,在磁场中做两次半个圆周运动。所以粒子在磁场中运动的时间t2=T= …………………………………………………………(1分)
从粒子被射出到其第三次通过x轴的时间t= t1+ t2=+…………………(1分)

解析

练习册系列答案
相关题目

违法和不良信息举报电话:027-86699610 举报邮箱:58377363@163.com

精英家教网