题目内容

“神州六号”飞船的成功飞行为我国在2010年实现探月计划——“嫦娥工程”获得了宝贵的经验.假设月球半径为R,月球表面的重力加速度为g0,飞船在距月球表面高度为3R的圆形轨道Ⅰ运动,到达轨道的A点点火变轨进入椭圆轨道Ⅱ,到达轨道的近月点B再次点火进入月球近月轨道Ⅲ绕月球作圆周运动.求:

(1)飞船在轨道Ⅰ上的运行速率;

(2)飞船在轨道Ⅲ绕月球运行一周所需的时间.

答案:
解析:

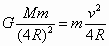
  (1)设月球的质量为M,飞船的质量为m,则

  (3分)

  (2分)

  解得(2分)

  (2)设飞船在轨道Ⅲ绕月球运行一周所需的时间为T,则

  (3分)

  ∴(2分)


练习册系列答案
相关题目

违法和不良信息举报电话:027-86699610 举报邮箱:58377363@163.com

精英家教网