题目内容
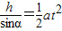
倾角为α的光滑斜面固定在水平面上,现有一个质量为m的小物块从斜面顶端由静止开始下滑,在小物块从顶端滑到底端的过程中,下列说法正确的是( )A.小物块运动的时间为
B.重力做的功为mgh
C.重力的冲量大小为
D.小物块到达斜面底端时重力的瞬时功率为
【答案】分析:根据牛顿第二定律求出物块下滑的加速度,结合位移时间公式求出小物块的运动时间.根据冲量的公式求出重力冲量的大小.根据运动学公式求出物块滑到底端时的速度,根据功率的公式求出重力的瞬时功率.
解答:解:A、物体的加速度a=gsinα,物体的位移x=
,解得t=
.故A错误.
B、重力做功W=mgh.故B正确.
C、重力的冲量I=mgt=m
.故C错误.
D、物块滑到底端时的速度v=at=
,则重力的瞬时功率P=mgvsinα=
.故D错误.
故选B.
点评:本题综合运用了牛顿第二定律和运动学公式,掌握功率的表达式,注意力与速度方向的夹角.
解答:解:A、物体的加速度a=gsinα,物体的位移x=
B、重力做功W=mgh.故B正确.
C、重力的冲量I=mgt=m
D、物块滑到底端时的速度v=at=
故选B.
点评:本题综合运用了牛顿第二定律和运动学公式,掌握功率的表达式,注意力与速度方向的夹角.
练习册系列答案
相关题目
如图在小木板上固定一个弹簧秤(弹簧秤的质量可忽略不计),弹簧秤下吊一光滑小球一起放在斜面上,木板固定时,弹簧秤的示数为F1,放手后木板沿斜面下滑,稳定时弹簧秤的示数是F2,测得斜面的倾角为θ。则( )![]()
| A.放手后弹簧为拉伸状态,小球加速度为gsinθ- |
| B.放手后弹簧为压缩状态,小球加速度为gsinθ- |
| C.木板与斜面的动摩擦因数为 |
| D.木板与斜面的动摩擦因数 |