题目内容

物体从静止开始做匀加速直线运动,已知第4s内与第2s内的位移之差是12m,则可知

[  ]

A.第1s内的位移为3m

B.第2s末的速度为8m/s

C.物体运动的加速度为

D.物体在5s内的平均速度为15m/s

答案:AD
解析:

由题意,可利用.先求出a,因此设第1s内、第2s内、第3s内、第4s、内的位移分别为,则

,∴,即C错.

A对,第2sB错.

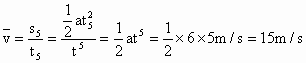
5sD对.


练习册系列答案
相关题目

违法和不良信息举报电话:027-86699610 举报邮箱:58377363@163.com

精英家教网