题目内容

(11分)光滑水平面上放有如图所示的用绝缘材料制成的“┙”型滑板(平面部分足够长),滑板的质量为4m。距离滑板的右壁A为L1的B处放有一质量为m、电量为+q(q>0)的小物体(可视为质点),小物体与板面之间的摩擦可忽略不计。整个装置处于场强为E、方向水平向右的匀强电场中。开始时,滑板与小物体都处于静止状态,某时刻释放小物体,求:

(1)小物体第一次跟滑板的A壁碰撞前瞬间的速度v1多大;

(2)若小物体与A壁碰撞时间极短,且碰撞过程没有机械能损失,则

a.小物体第二次即将跟A壁碰撞瞬间,滑板的速度v和小物体的速度v2分别为多大;

b.从开始释放小物体到它即将第二次跟A壁碰撞的过程中,整个装置的电势能减少了多少.

 

【答案】

(1)(2)a.;b:

【解析】

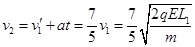
试题分析:由动能定理得:            1分

                1分

(2)a.小物体与A壁碰撞时间极短,且碰撞过程没有机械能损失

由动量守恒得              1分

机械能守恒              1分

可得                1分

设再经过t发生第二次碰撞,则              1分

可得               1分

                1分

b.小物块跟A壁第一次碰撞后到即将第二次跟A壁碰撞的过程中,滑板的位移              1分

小物体从释放到即将第二次跟A壁碰撞过程中

电场力对它所做的功:        1分

所以整个装置的电势能减少量ΔE=W=          1分

考点:考查了动能定理,机械嫩守恒定律,动量守恒定律综合应用

 

练习册系列答案
相关题目

违法和不良信息举报电话:027-86699610 举报邮箱:58377363@163.com

精英家教网