题目内容

(9分)在可控核反应堆中需要给快中子减速,轻水、重水和石墨等常用作减速剂。中子在重水中可与核碰撞减速,在石墨中与核碰撞减速。上述碰撞可简化为弹性碰撞模型。某反应堆中快中子与静止的靶核发生对心正碰,通过计算说明,仅从一次碰撞考虑,用重水和石墨作减速剂,哪种减速效果更好?

重水减速效果更好

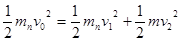
解析试题分析:设中子质量为mn靶核质量为m,
由动量守恒定律      
由能量守恒定律  
解得:
在重水中靶核质量:则碰后中子速度为  
在石墨中靶核质量:则碰后中子速度为
与重水靶核碰后中子速度较小,故重水减速效果更好。
考点:动量守恒定律,能量守恒定律
点评:学生知道在弹性碰撞中,两物体动量和能量都守恒,在非弹性碰撞中,只有动量守恒,能量不守恒。

练习册系列答案
相关题目

违法和不良信息举报电话:027-86699610 举报邮箱:58377363@163.com

精英家教网