题目内容
如图为示波器的部分构造,真空室中电极连续不断地发射电子(初速度不计),经过电压为Ua的加速电场后,由小孔C沿水平金属板A、B间的中心轴线射入两板间,板长为l1两板间距为d,电子穿过两板后,打在荧光屏上,屏到两板边缘的距离为l2,A,B两板间不加电压时,电子打在宽敞光屏的中点O上,屏上a、b两点到O点的距离均为(1)求出AB两板间所加电压的最大值;
(2)写出加在AB两板间电压U与时间t(0≤t≤T)的关系式;
(3)画出U-t图象.
【答案】分析:(1)电子经加速电场加速,进入偏转电场,做类平抛运动,出电场做匀速直线运动,根据运动学公式结合电子从偏转电场射出,不论U多大,电子都好像从偏转电场的中心O′射出,通过几何关系求出偏转电压与最终偏移量的关系.
(2)求t=0进入两板间的电子打在屏上的b点,然后在时间T内亮点匀速上移到a点,求出电子在屏上的偏移量与时间的关系,从而结合第(1)问中的结论求出U与时间的关系.
(3)根据U与t的关系式作出U-t图象.
解答:解:(1)设电子经Ua加速后的速度为v,根据动能定理得:
①
设电子偏转飞出电场与水平方向的夹角为θ
tanθ=
.②
电子从偏转电场射出,不论U多大,电子都好像从偏转电场的中心O′射出.
如图,由几何关系得:
③
联立①②③解得y=
④
所以U=
.
当y=
时,U有最大值,
.
(2)t时刻,亮点的位置y=
由(1)式结论有:
.
(3)如图所示.
答:(1)AB两板间所加电压的最大值为
.
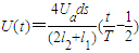
(2)加在AB两板间电压U与时间t(0≤t≤T)的关系式为
(3)如图所示.
点评:解决本题的关键理清电子在整个过程中的运动情况,运用运动学公式结合牛顿第二定律求出偏移量,通过偏移量与偏转电压的关系,得出U与t的关系式.
(2)求t=0进入两板间的电子打在屏上的b点,然后在时间T内亮点匀速上移到a点,求出电子在屏上的偏移量与时间的关系,从而结合第(1)问中的结论求出U与时间的关系.
(3)根据U与t的关系式作出U-t图象.
解答:解:(1)设电子经Ua加速后的速度为v,根据动能定理得:
设电子偏转飞出电场与水平方向的夹角为θ
tanθ=
电子从偏转电场射出,不论U多大,电子都好像从偏转电场的中心O′射出.
如图,由几何关系得:
联立①②③解得y=
所以U=
当y=
(2)t时刻,亮点的位置y=
由(1)式结论有:
(3)如图所示.
答:(1)AB两板间所加电压的最大值为
(2)加在AB两板间电压U与时间t(0≤t≤T)的关系式为
(3)如图所示.
点评:解决本题的关键理清电子在整个过程中的运动情况,运用运动学公式结合牛顿第二定律求出偏移量,通过偏移量与偏转电压的关系,得出U与t的关系式.
练习册系列答案
相关题目