题目内容
如图所示,光滑绝缘的水平面上的P点固定着一个带正电的点电荷,在它的右侧N点由静止开始释放一个也带正电的小球(可视为质点)。以向右为正方向,下图中能反映小球运动速度随时间变化规律的是
![]()
![]()
【答案】
B
【解析】
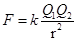
试题分析:N点的小球释放后,受到向右的库仑力的作用,开始向右运动,根据库仑定律
可得,随着两者之间的距离的增大,N受到的库仑力在减小,根据牛顿第二定律
可得,N点的点电荷做加速度减小的直线运动,而
图像中图像的斜率表示物体运动的加速度,所以B正确,A图像表示物体做匀加速直线运动,C图像表示物体做加速度增大的直线运动,D图像表示物体先做加速度增大的直线运动,后做加速度减小的直线运动,
考点:考查了库仑定律,牛顿第二定律,
图像
练习册系列答案
相关题目
| A、线框有一阶段在做匀加速运动 | B、线框ab边在刚进入磁场时可能做加速运动 | C、线框ab边在刚穿出磁场时一定是先做减速运动 | D、线框中产生的热量为F(d+S+L) |