题目内容
A.弹簧的劲度系数为
B.此时弹簧的弹性势能等于
C.此时物体B的速度大小也为v
D.此时物体A的加速度大小为g,方向竖直向上
【答案】分析:由题,物体B对地面恰好无压力时,物体A下落高度为h,则知此时弹簧所受的拉力大小等于B的重力mg,弹簧伸长的长度为h,由胡克定律F=kx求解弹簧的劲度系数.A与弹簧组成的系统机械能守恒,可求解求得弹簧的弹性势能.此时物体B的速度为零.根据牛顿第二定律求出A的加速度.
解答:解:A、由题可知,此时弹簧所受的拉力大小等于B的重力,即F=mg,弹簧伸长的长度为x=h,由F=kx得,k=
.故A正确.
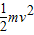
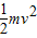
B、A与弹簧组成的系统机械能守恒,则有:
mgh=
+Ep,则弹簧的弹性势能:Ep=mgh-
.故B错误.
C、物体B对地面恰好无压力时,此时B的速度恰好为零.故C错误.
D、根据牛顿第二定律对A有:F-mg=ma,得a=0.故D错误.
故选A
点评:本题是含有弹簧的问题,运用胡克定律、机械能守恒和牛顿第二定律进行研究,关键要抓住物体B对地面恰好无压力,确定出弹簧的弹力.
解答:解:A、由题可知,此时弹簧所受的拉力大小等于B的重力,即F=mg,弹簧伸长的长度为x=h,由F=kx得,k=
B、A与弹簧组成的系统机械能守恒,则有:
mgh=
C、物体B对地面恰好无压力时,此时B的速度恰好为零.故C错误.
D、根据牛顿第二定律对A有:F-mg=ma,得a=0.故D错误.
故选A
点评:本题是含有弹簧的问题,运用胡克定律、机械能守恒和牛顿第二定律进行研究,关键要抓住物体B对地面恰好无压力,确定出弹簧的弹力.
练习册系列答案
相关题目
如图所示,物体A和B相对静止,以共同的速度沿斜面匀速下滑,则( )

| A、A、B间无摩擦力的作用 | B、B受到滑动摩擦力的大小为(mA+mB)gsinθ | C、B受到静摩擦力的大小为mAgsinθ | D、A物体受到的合力沿斜面向下 |