题目内容
光电门传感器也是一种研究物体运动情况的计时仪器,现利用图甲所示装置设计一个“验证物体产生的加速度与合外力、质量关系”的实验,图中NO是水平桌面,PO是一端带有滑轮的长木板,1、2是固定在木板上的两个光电门.小车上固定着用于挡光的窄片,让小车从木板的顶端滑下,光电门连接数据采集器,并把数据采集器和计算机连接,打开软件.①该实验中,为了探究a与F 关系,必须使用的物理方法是 .
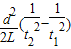
②已知窄片的宽度为d,计算机显示的光电门1、2的挡光时间分别为t1、t2.用米尺测量光电门间距为L(L远大于d),则小车的加速度表达式a= (用题中所给的字母表示).
③有位同学通过测量,作出a-F图线,如图乙中的实线所示.试分析:乙中图线不通过坐标原点的原因是 ;
乙中图线上部弯曲的原因是 .
【答案】分析:(1)在研究物体的“加速度、作用力和质量”三个物理量的关系时,由于变量较多,因此采用了“控制变量法”进行研究.
(2)根据运动学公式
,可以写出加速度的表达式;
(3)根据牛顿第二定律结合图象特点即可正确解答.
解答:解:①在研究物体的“加速度、作用力和质量”三个物理量的关系时,由于变量较多,因此采用了“控制变量法”进行研究.探究a与F关系时,保持小车的质量m一定,研究a与F的关系.
②由于窄片K的宽度为d很小,因此可以利用其平均速度代替物体的瞬时速度,
故窄片K通过光电门1的速度表达式为:
窄片K通过光电门2的速度表达式:
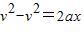
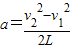
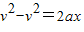
根据运动学公式:
有:
=
③根据乙图可知,当没有挂砂和砂桶时,小车产生了加速度,因此说明平衡摩擦力时木板倾角太大;随着F的增大,即砂和砂桶质量的增大,不在满足砂和砂桶远小于小车的质量,因此曲线上部出现弯曲现象.
故答案分别为:
①控制变量法
②a=
③平衡摩擦力时木板倾角太大,没有满足小车质量远大于砂和砂桶的质量.
点评:对于实验问题一定要明确实验原理,并且亲自动手实验,熟练应用所学基本规律解决实验问题.
(2)根据运动学公式
(3)根据牛顿第二定律结合图象特点即可正确解答.
解答:解:①在研究物体的“加速度、作用力和质量”三个物理量的关系时,由于变量较多,因此采用了“控制变量法”进行研究.探究a与F关系时,保持小车的质量m一定,研究a与F的关系.
②由于窄片K的宽度为d很小,因此可以利用其平均速度代替物体的瞬时速度,
故窄片K通过光电门1的速度表达式为:
窄片K通过光电门2的速度表达式:
根据运动学公式:
③根据乙图可知,当没有挂砂和砂桶时,小车产生了加速度,因此说明平衡摩擦力时木板倾角太大;随着F的增大,即砂和砂桶质量的增大,不在满足砂和砂桶远小于小车的质量,因此曲线上部出现弯曲现象.
故答案分别为:
①控制变量法
②a=
③平衡摩擦力时木板倾角太大,没有满足小车质量远大于砂和砂桶的质量.
点评:对于实验问题一定要明确实验原理,并且亲自动手实验,熟练应用所学基本规律解决实验问题.
练习册系列答案
相关题目