题目内容

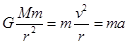
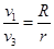
已知地球半径为R ,赤道上物体随地球自转的向心加速度大小为,速率为;近地卫星的加速度大小为,运行速率为;地球同步卫星的轨道半径为r ,加速度大小为,运行速率为。则

A.         B.

C.         D.

 

【答案】

ABD

【解析】

试题分析:因为随地球自转的物体和同步卫星的角速度都等于地球自转的角速度,所以根据,则,地球的近地卫星和同步卫星都满足,即,所以;根据牛顿定律,对地球表面的物体来说,而对于近地卫星有,所以a2>a1;选项ABD正确。

考点:此题考查万有引力定律及天体的运动知识。

 

练习册系列答案
相关题目

违法和不良信息举报电话:027-86699610 举报邮箱:58377363@163.com

精英家教网