题目内容
两个物体A和B,质量分别为m1和m2,互相接触放在光滑的水平面上,如图所示,对物体A施以水平的推力F,使A、B一起向右加速运动,则物体A对物体B的作用力等于( )
![]()
A.
B.
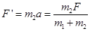
C.F D.![]()
【答案】
B
【解析】
试题分析:AB一起加速运动,作为一个整体,水平方向只有推力F,因此根据牛顿第二定律
,单独分析B的受力,水平方向只受到A的作用力
,根据牛顿第二定律
答案B对。
考点:牛顿第二定律 整体法隔离法
练习册系列答案
相关题目
| A、绳上拉力大小为mg | ||||
B、物体A对地面的压力大小为
| ||||
C、物体A对地面的摩擦力大小为
| ||||
| D、地面对物体A的摩擦力方向向右 |
| A、T=mg | B、N=(M-m)g | C、T=Mg | D、N=(M+m)g |