题目内容
质量为
的物体从一行星表面
高度处自由下落(不计阻力).经过时间
物体到达行星表面,则根据题设条件不可以计算出:
A.行星表面重力加速度大小
B.物体受到星球引力的大小
C.行星的第一宇宙速度
D.物体落到行星表面时速度的大小
【答案】
B
【解析】
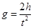
试题分析:根据
,可得
,选项A能算出. 由于不知道物体的质量,所以不能求出物体受到行星的引力大小.故B不能算出.由近地卫星的环绕速度
,而
,可得
,则选项C能算出.根据公式
,故D能算出.本题选不能算出的,故选B.
考点:本题考查了万有引力定律及其应用、自由落体运动.
练习册系列答案
相关题目
质量为m的物体从一行星表面h高度处自由下落(不计阻力).经过时间t物体到达行星表面,则根据题设条件不可以计算出( )
| A、行星表面重力加速度大小 | B、物体受到星球引力的大小 | C、行星的第一宇宙速度 | D、物体落到行星表面时速度的大小 |
质量为
的物体从一行星表面
高度处自由下落(不计阻力).经过时间
物体到达行星表面,则根据题设条件不可以计算出:
| A.行星表面重力加速度大小 |
| B.物体受到星球引力的大小 |
| C.行星的第一宇宙速度 |
| D.物体落到行星表面时速度的大小 |