题目内容
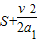
小汽车正前方S处有一辆正在以速度v行驶的载重卡车,此时小汽车因有急事需追赶载重卡车,于是立即通知载重卡车司机以加速度a1做匀减速运动,同时小汽车从静止开始以加速度a2做匀加速运动,试求小汽车需多长时间可追上载重卡车?某同学对此题的解法为:小汽车追上载重卡车时,有
问:你同意上述解法吗?若同意,求出所需的时间;若不同意,则说明理由并求出你认为正确的结果(只需列出方程即可).
【答案】分析:在汽车的追击和相遇的问题中,当有汽车在做减速运动时,一定要注意汽车的运动时间的判断,货车的运动的时间和小汽车的运动的时间很可能是不一致的,所以要分情况来讨论.
解答:解:不同意.因为载重汽车有可能在t时刻前就已经停止运动.
本题应分三种情况讨论:由于载重卡车经
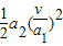
时间停下,在这段时间内小汽车的位移为
,
(1)若
>
,则小汽车在载重卡车停下前追上,有
,
(2)若
<
,则小汽车在载重卡车停下后追上,有
,
(3)若
=
,则小汽车在载重卡车刚停下时追上,则上述两个方程均可.
点评:对汽车的这种追击问题,在分析问题的时候一定要注意汽车的刹车的时间,从而先判断出车的运动的情况.
解答:解:不同意.因为载重汽车有可能在t时刻前就已经停止运动.
本题应分三种情况讨论:由于载重卡车经
(1)若
(2)若
(3)若
点评:对汽车的这种追击问题,在分析问题的时候一定要注意汽车的刹车的时间,从而先判断出车的运动的情况.
练习册系列答案
相关题目