题目内容
关于平抛运动,以下说法中正确的是( )A.平抛运动是一种变加速运动
B.作平抛运动的物体加速度随时间逐渐增大
C.作平抛运动的物体每秒内速度增量相等
D.作平抛运动的物体每秒内位移增量相等
【答案】分析:平抛运动初速度水平,只受重力;将平抛运动沿着水平和竖直方向正交分解,其水平分运动为匀速直线运动,竖直分运动为自由落体运动.
解答:解:A、B、平抛运动只受重力,故根据牛顿第二定律,加速度的大小和方向都不变,是一种匀变速曲线运动,故A错误、B也错误;
C、由于平抛运动的加速度恒定,故速度每秒的增加量相同,大小为10m/s,方向为竖直向下,故C正确;
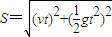
D、平抛运动水平分运动为匀速运动,竖直分运动为自由落体运动,有
x=vt

故合位移为
,每秒增量不等,故D错误;
故选C.
点评:本题关键是将小球的运动沿着水平和竖直方向正交分解,然后根据运动合成的平行四边形定则得到合速度、加速度、位移的情况.
解答:解:A、B、平抛运动只受重力,故根据牛顿第二定律,加速度的大小和方向都不变,是一种匀变速曲线运动,故A错误、B也错误;
C、由于平抛运动的加速度恒定,故速度每秒的增加量相同,大小为10m/s,方向为竖直向下,故C正确;
D、平抛运动水平分运动为匀速运动,竖直分运动为自由落体运动,有
x=vt
故合位移为
故选C.
点评:本题关键是将小球的运动沿着水平和竖直方向正交分解,然后根据运动合成的平行四边形定则得到合速度、加速度、位移的情况.
练习册系列答案
相关题目
- QQ空间
- 新浪微博
- 百度搜藏
- 人人网
- 腾讯微博
- 开心网
- 腾讯朋友
- 百度空间
- 豆瓣网
- 搜狐微博
- MSN
- QQ收藏
- 我的淘宝
- 百度贴吧
- 搜狐白社会
- 更多...
百度分享
一个有一定厚度的圆盘,可以绕通过中心垂直于盘面的水平轴转动,用下面的方法测量它匀速转动时的角速度。
实验器材:电磁打点计时器、米尺、纸带、复写纸片。
实验步骤:
(1)如图1所示,将电磁打点计时器固定在桌面上,将纸带的一端穿过打点计时器的限位孔后,固定在待测圆盘的侧面上,使得圆盘转动时,纸带可以卷在圆盘侧面上。
(2)启动控制装置使圆盘转动,同时接通电源,打点计时器开始打点。
(3)经过一段时间,停止转动和打点,取下纸带,进行测量。
① 由已知量和测得量表示的角速度的表达式为ω= 。式中各量的意义是:
.
② 某次实验测得圆盘半径r=5.50×10-2m,得到纸带的一段如图2所示,求得角速度为 。
(1) (2)6.8/s。 |