题目内容
(1)取行李处,相邻两件行李间的间距L=?
(2)从电动机开启,到运送完行李需要消耗的电能E=?
【答案】分析:(1)先求出行李加速的时间t,相邻行李间距等于行李匀速运动t时间的位移,根据运动学公式列式求解;
(2)电动机做的功转化为传送带的动能、行李的动能和因摩擦产生的内能;一对摩擦力做的总功等于产生的内能,根据功能关系列式求出电动机的总功.
解答:解:(1)设行李加速的时间t,则每一件行李速度的时间都相等,加速过程的位移也相等,故相邻行李间距等于行李匀速运动t时间的位移,根据运公式:L=vt
(2)设行李与传送带间的动摩擦因数为μ,则行李与传送带间由于摩擦而产生的总热量:Q=nμmg△x

又:v=μgt
联立解得:
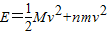
由能量守恒得:
所以:
答:(1)相邻两件行李间的间距为L=vt;(2)运送完行李需要消耗的电能
点评:本题容易误认为相邻工件间距等于工件加速运动的位移;要知道电动机对外做的功转化传送带的动能、行李的动能和因摩擦产生的内能一对摩擦力做的总功等于产生的内能.属于难题.
(2)电动机做的功转化为传送带的动能、行李的动能和因摩擦产生的内能;一对摩擦力做的总功等于产生的内能,根据功能关系列式求出电动机的总功.
解答:解:(1)设行李加速的时间t,则每一件行李速度的时间都相等,加速过程的位移也相等,故相邻行李间距等于行李匀速运动t时间的位移,根据运公式:L=vt
(2)设行李与传送带间的动摩擦因数为μ,则行李与传送带间由于摩擦而产生的总热量:Q=nμmg△x
又:v=μgt
联立解得:
由能量守恒得:
所以:
答:(1)相邻两件行李间的间距为L=vt;(2)运送完行李需要消耗的电能
点评:本题容易误认为相邻工件间距等于工件加速运动的位移;要知道电动机对外做的功转化传送带的动能、行李的动能和因摩擦产生的内能一对摩擦力做的总功等于产生的内能.属于难题.
练习册系列答案
相关题目