ÌâÄ¿ÄÚÈÝ
ÈçͼËùʾ£¬ÖÊÁ¿¾ùΪmµÄÁ½ÎïÌåA¡¢B·Ö±ðÓëÇáÖʵ¯»ÉµÄÁ½¶ËÏàÁ¬½Ó£¬½«ËüÃǾ²Ö¹·ÅÔÚµØÃæÉÏ£®Ò»ÖÊÁ¿Ò²ÎªmµÄСÎïÌåC´Ó¾àAÎïÌåh¸ß´¦Óɾ²Ö¹¿ªÊ¼ÏÂÂ䣮CÓëAÏàÅöºóÁ¢¼´Õ³ÔÚÒ»ÆðÏòÏÂÔ˶¯£¬ÒÔºó²»ÔÙ·Ö¿ª£®µ±AÓëCÔ˶¯µ½×î¸ßµãʱ£¬ÎïÌåB¶ÔµØÃæ¸ÕºÃÎÞѹÁ¦£®²»¼Æ¿ÕÆø×èÁ¦£®µ¯»ÉʼÖÕ´¦ÓÚµ¯ÐÔÏÞ¶ÈÄÚ£®ÒÑÖªÖØÁ¦¼ÓËÙ¶ÈΪg£®Çó?£¨1£©AÓëCÒ»Æð¿ªÊ¼ÏòÏÂÔ˶¯Ê±µÄËÙ¶È´óС£®?
£¨2£©AÓëCÒ»ÆðÔ˶¯µÄ×î´ó¼ÓËÙ¶È´óС£®?
£¨3£©µ¯»ÉµÄ¾¢¶ÈϵÊý£®£¨Ìáʾ£ºµ¯»ÉµÄµ¯ÐÔÊÆÄÜÖ»Óɵ¯»É¾¢¶ÈϵÊýºÍÐαäÁ¿´óС¾ö¶¨£©
¡¾´ð°¸¡¿·ÖÎö£º£¨1£©¸ù¾Ý¶¯Äܶ¨ÀíÇó³öÎïÌåCÓëÎïÌåAÏàÅöǰµÄËÙ¶È£¬ÔÙ¸ù¾Ý¶¯Á¿Êغ㶨ÂÉÇó³öA¡¢CÒ»ÆðÏòÏÂÔ˶¯µÄËÙ¶È´óС£®
£¨2£©AÓëCÒ»Æð½«ÔÚÊúÖ±·½ÏòÉÏ×ö¼òгÔ˶¯£®µ±AÓëCÔ˶¯µ½×î¸ßµãʱ£¬»Ø¸´Á¦×î´ó£¬¼ÓËÙ¶È×î´ó£¬¶ÔB·ÖÎö£¬Çó³ö´Ëʱµ¯»ÉµÄµ¯Á¦´óС£¬ÔÙ¶ÔAC·ÖÎö£¬ÔËÓÃÅ£¶ÙµÚ¶þ¶¨ÂÉÇó³ö×î´ó¼ÓËÙ¶È´óС£®
£¨3£©¿ªÊ¼A´¦ÓÚÆ½ºâ״̬ʱµ¯»ÉµÄѹËõÁ¿ÓëACÉÏÉýµ½×î¸ßµãʱµ¯»ÉµÄÉ쳤Á¿ÏàµÈ£¬Ôòµ¯ÐÔÊÆÄÜÏàµÈ£¬×¥×¡Á½¸öλÖÃϵͳ»úеÄÜÊØºã£¬Çó³öµ¯»ÉµÄÐαäÁ¿£¬´Ó¶ø¸ù¾Ýºú¿Ë¶¨ÂÉÇó³ö¾¢¶ÈϵÊý£®
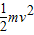
½â´ð£º½â£º£¨1£©ÉèСÎïÌåC´Ó¾²Ö¹¿ªÊ¼Ô˶¯µ½AµãʱµÄËÙ¶ÈΪv£¬ÓÉ»úеÄÜÊØºã¶¨ÂÉÓУº
mgh=
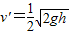
ÉèCÓëAÅöײճÔÚÒ»ÆðµÄËÙ¶ÈΪv¡ä£¬Óɶ¯Á¿Êغ㶨Âɵã¬
mv=£¨m+m£©v¡ä£¬
½âµÃ
£®
´ð£ºAÓëCÒ»Æð¿ªÊ¼ÏòÏÂÔ˶¯Ê±µÄËÙ¶È´óСΪ
£®
£¨2£©AÓëCÒ»Æð½«ÔÚÊúÖ±·½ÏòÉÏ×ö¼òгÔ˶¯£®µ±AÓëCÔ˶¯µ½×î¸ßµãʱ£¬»Ø¸´Á¦×î´ó£¬¼ÓËÙ¶È×î´ó¡¢
AC¡¢BÊÜÁ¦Èçͼ£®
BÊÜÁ¦Æ½ºâÓУºF=mg
¶ÔACÔËÓÃÅ£¶ÙµÚ¶þ¶¨ÂÉ£ºF+2mg=2ma
½âµÃa=1.5g£®
´ð£ºAÓëCÒ»ÆðÔ˶¯µÄ×î´ó¼ÓËÙ¶È´óСΪ1.5g£®
£¨3£©É赯»ÉµÄ¾¢¶ÈϵÊýΪk
¿ªÊ¼Ê±A´¦ÓÚÆ½ºâ״̬£¬É赯»ÉµÄѹËõÐαäÁ¿Îª¡÷x
¶ÔAÓÐk¡÷x=mg¢Ù
µ±AÓëCÔ˶¯µ½×î¸ßʱ£¬É赯»ÉµÄÀÉìÐαäÁ¿Îª¡÷x¡å
¶ÔBÓÐk¡÷x¡å=mg¢Ú
ÓÉÒÔÉÏÁ½Ê½µÃ¡÷x=¡÷x¡å
Òò´Ë£¬ÔÚÕâÁ½¸öλÖÃʱµ¯»ÉµÄµ¯ÐÔÊÆÄÜÏàµÈ£º
¶ÔA¡¢C£¬´ÓÔÆ½ºâλÖõ½×î¸ßµã£¬¸ù¾Ý»úеÄÜÊØºã¶¨ÂÉ
¢Û
ÁªÁ¢¸÷ʽ½âµÃ£º
´ð£ºµ¯»ÉµÄ¾¢¶ÈϵÊýΪ
£®
µãÆÀ£º±¾ÌâµÄ¹ý³Ì½Ï¸´ÔÓ£¬¹Ø¼üÊÇÀíÇå¹ý³Ì£¬ÕýÈ·µØÊÜÁ¦·ÖÎö£¬ÔËÓö¯Äܶ¨Àí¡¢¶¯Á¿Êغ㶨ÂɺͻúеÄÜÊØºã¶¨ÂɽøÐÐÇó½â£®
£¨2£©AÓëCÒ»Æð½«ÔÚÊúÖ±·½ÏòÉÏ×ö¼òгÔ˶¯£®µ±AÓëCÔ˶¯µ½×î¸ßµãʱ£¬»Ø¸´Á¦×î´ó£¬¼ÓËÙ¶È×î´ó£¬¶ÔB·ÖÎö£¬Çó³ö´Ëʱµ¯»ÉµÄµ¯Á¦´óС£¬ÔÙ¶ÔAC·ÖÎö£¬ÔËÓÃÅ£¶ÙµÚ¶þ¶¨ÂÉÇó³ö×î´ó¼ÓËÙ¶È´óС£®
£¨3£©¿ªÊ¼A´¦ÓÚÆ½ºâ״̬ʱµ¯»ÉµÄѹËõÁ¿ÓëACÉÏÉýµ½×î¸ßµãʱµ¯»ÉµÄÉ쳤Á¿ÏàµÈ£¬Ôòµ¯ÐÔÊÆÄÜÏàµÈ£¬×¥×¡Á½¸öλÖÃϵͳ»úеÄÜÊØºã£¬Çó³öµ¯»ÉµÄÐαäÁ¿£¬´Ó¶ø¸ù¾Ýºú¿Ë¶¨ÂÉÇó³ö¾¢¶ÈϵÊý£®
½â´ð£º½â£º£¨1£©ÉèСÎïÌåC´Ó¾²Ö¹¿ªÊ¼Ô˶¯µ½AµãʱµÄËÙ¶ÈΪv£¬ÓÉ»úеÄÜÊØºã¶¨ÂÉÓУº
mgh=
ÉèCÓëAÅöײճÔÚÒ»ÆðµÄËÙ¶ÈΪv¡ä£¬Óɶ¯Á¿Êغ㶨Âɵã¬
mv=£¨m+m£©v¡ä£¬
½âµÃ
´ð£ºAÓëCÒ»Æð¿ªÊ¼ÏòÏÂÔ˶¯Ê±µÄËÙ¶È´óСΪ
£¨2£©AÓëCÒ»Æð½«ÔÚÊúÖ±·½ÏòÉÏ×ö¼òгÔ˶¯£®µ±AÓëCÔ˶¯µ½×î¸ßµãʱ£¬»Ø¸´Á¦×î´ó£¬¼ÓËÙ¶È×î´ó¡¢
AC¡¢BÊÜÁ¦Èçͼ£®
BÊÜÁ¦Æ½ºâÓУºF=mg
¶ÔACÔËÓÃÅ£¶ÙµÚ¶þ¶¨ÂÉ£ºF+2mg=2ma
½âµÃa=1.5g£®
´ð£ºAÓëCÒ»ÆðÔ˶¯µÄ×î´ó¼ÓËÙ¶È´óСΪ1.5g£®
£¨3£©É赯»ÉµÄ¾¢¶ÈϵÊýΪk
¶ÔAÓÐk¡÷x=mg¢Ù
µ±AÓëCÔ˶¯µ½×î¸ßʱ£¬É赯»ÉµÄÀÉìÐαäÁ¿Îª¡÷x¡å
¶ÔBÓÐk¡÷x¡å=mg¢Ú
ÓÉÒÔÉÏÁ½Ê½µÃ¡÷x=¡÷x¡å
Òò´Ë£¬ÔÚÕâÁ½¸öλÖÃʱµ¯»ÉµÄµ¯ÐÔÊÆÄÜÏàµÈ£º
¶ÔA¡¢C£¬´ÓÔÆ½ºâλÖõ½×î¸ßµã£¬¸ù¾Ý»úеÄÜÊØºã¶¨ÂÉ
ÁªÁ¢¸÷ʽ½âµÃ£º
´ð£ºµ¯»ÉµÄ¾¢¶ÈϵÊýΪ
µãÆÀ£º±¾ÌâµÄ¹ý³Ì½Ï¸´ÔÓ£¬¹Ø¼üÊÇÀíÇå¹ý³Ì£¬ÕýÈ·µØÊÜÁ¦·ÖÎö£¬ÔËÓö¯Äܶ¨Àí¡¢¶¯Á¿Êغ㶨ÂɺͻúеÄÜÊØºã¶¨ÂɽøÐÐÇó½â£®
Á·Ï°²áϵÁдð°¸
Ïà¹ØÌâÄ¿