题目内容
一个理想变压器,原线圈和副线圈的匝数分别为n1和n2,正常工作时输入和输出的电压、电流、功率分别为U1和U2、I1和I2、P1和P2,已知n1>n2,则( )A.U1>U2,P1<P2
B.P1=P2,I1<I2
C.I1<I2,U1>U2
D.P1>P2,I1>I2
【答案】分析:本题比较简单,直接根据理想变压器原副线圈匝数比与电压、电流比之间的关系即可求解,理想变压器的输入功率与输出功率相等.
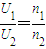
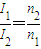
解答:解:根据理想变压器的特点有:
,P1=P2
所以有电流关系为:
,由于n1>n2,所以有I1<I2,U1>U2,故AD错误,BC正确.
故选BC.
点评:本题考查了有关变压器的基础知识,对于这些基础知识平时要加强记忆与理解,同时通过做题加强对基本公式的理解与应用.
解答:解:根据理想变压器的特点有:
所以有电流关系为:
故选BC.
点评:本题考查了有关变压器的基础知识,对于这些基础知识平时要加强记忆与理解,同时通过做题加强对基本公式的理解与应用.
练习册系列答案
相关题目
| A、原线圈中的电流为nI | B、电压表的读数为IR | C、电动机的输人功率为I2R | D、变压器的输人功率为UI/n |