题目内容

人造卫星绕地球做匀速圆周运动,离地心越远的卫星           (     )

A.线速度越大    B.角速度越小      C.周期越大      D.加速度越小

 

【答案】

BCD

【解析】

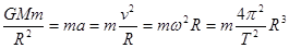
试题分析:离地心远,说明绕地球做匀速圆周运动半径大,则由公式可得,R越大,则加速度a减小,D正确;速度v减小,A不对;角速度ω减小,B正确;周期T变大,C也正确。

考点:万有引力定律,向心加速度。

 

练习册系列答案
相关题目

违法和不良信息举报电话:027-86699610 举报邮箱:58377363@163.com

精英家教网