题目内容
一物体作匀加速直线运动,通过一段位移△x所用的时间为t1,紧接着通过下一段位移△x所用时间为t2.则物体运动的加速度为 .
【答案】分析:物体做匀加速直线运动,由推论:一段时间内的平均速度等于中点时间的瞬时速度,可求出前后两段时间中点时刻的速度,再由速度公式求解加速度.
解答:解:物体在前后两段位移内中点时刻的瞬时速度分别为
v1=
,
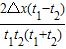
则加速度为 a=
=
故答案为:
点评:本题巧用推论求解加速度,也可以运用基本公式,对两段分别列方程,组成方程组求解加速度.
解答:解:物体在前后两段位移内中点时刻的瞬时速度分别为
v1=
则加速度为 a=
故答案为:
点评:本题巧用推论求解加速度,也可以运用基本公式,对两段分别列方程,组成方程组求解加速度.
练习册系列答案
相关题目