题目内容
一物体以4m/s的速度滑上光滑斜面做匀减速直线运动,途经A、B两点,已知物体在A点时的速度是B点时速度的2倍,由B点再经过0.5秒物体滑到顶点C点时速度恰好为零,已知AB=75cm,求:(1)斜面的长度;
(2)物体由底端D点滑到B点时所需要的时间.
【答案】分析:由位移与速度公式,速度时间公式求解.
解答:解:(1)A-B过程
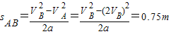
…①
B-C过程:由 Vt=V+at0=VB+a×0.5s…②
由①②联立得:
斜面长:
(2)由 VB=V+at 得:
答案为:(1)斜面的长度为4m
(2)物体由底端D点滑到B点时所需要的时间为1.5S
点评:考查运动学公式的应用.会正确选择过程及公式.
解答:解:(1)A-B过程
B-C过程:由 Vt=V+at0=VB+a×0.5s…②
由①②联立得:
斜面长:
(2)由 VB=V+at 得:
答案为:(1)斜面的长度为4m
(2)物体由底端D点滑到B点时所需要的时间为1.5S
点评:考查运动学公式的应用.会正确选择过程及公式.
练习册系列答案
相关题目