题目内容
如图所示,位于光滑水平面上的小滑块P和Q都可视作质点,质量相等.Q与轻质弹簧相连.设Q静止,P以某一初速度向Q运动并与弹簧发生碰撞.在整个过程中,弹簧具有的最大弹性势能等于( )A.P的初动能
B.P的初动能的
C.P的初动能的
D.P的初动能的
【答案】分析:P与Q相互作用过程中,外力的合力为零,系统动量守恒,同时由于只有弹簧弹力做功,系统机械能也守恒;P刚与弹簧接触时,弹簧弹力逐渐变大,P做加速度变大的加速运动,Q做加速度变大的加速运动,当P与Q速度相等时,弹簧最短,弹性势能最大,根据动量守恒定律和机械能守恒定律列式即可.
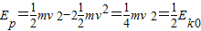
解答:解:在整个过程中,弹簧具有最大弹性势能时,P和Q的速度相同.
根据动量守恒定律
mv=2mv.
根据机械能守恒定律,有

故最大弹性势能等于P的初动能的
.
故选B.
点评:本题关键对两物体的受力情况和运动情况进行分析,得出P和Q的速度相同时,弹簧最短,然后根据动量守恒定律和机械能守恒定律列式求解.
解答:解:在整个过程中,弹簧具有最大弹性势能时,P和Q的速度相同.
根据动量守恒定律
mv=2mv.
根据机械能守恒定律,有
故最大弹性势能等于P的初动能的
故选B.
点评:本题关键对两物体的受力情况和运动情况进行分析,得出P和Q的速度相同时,弹簧最短,然后根据动量守恒定律和机械能守恒定律列式求解.
练习册系列答案
相关题目