ÌâÄ¿ÄÚÈÝ

Èçͼ¼×Ëùʾ£¬¿Õ¼ä·Ö²¼×ÅÓÐÀíÏë±ß½çµÄÔÈÇ¿µç³¡ºÍÔÈÇ¿´Å³¡£®ÔÈÇ¿´Å³¡·ÖΪ¢ñ¡¢¢òÁ½¸öÇøÓò£¬Æä±ß½çΪMN¡¢PQ£¬´Å¸ÐӦǿ¶È´óС¾ùΪB£¬·½ÏòÈçͼËùʾ£¬¢ñÇøÓò¸ß¶ÈΪd£¬¢òÇøÓòµÄ¸ß¶È×ã¹»´ó£®Ò»¸öÖÊÁ¿Îªm¡¢µçºÉÁ¿ÎªqµÄ´øÕýµçµÄСÇò´Ó´Å³¡ÉÏ·½µÄOµãÓɾ²Ö¹¿ªÊ¼ÏÂÂ䣬½øÈëµç¡¢´Å¸´ºÏ³¡ºó£¬Ç¡ÄÜ×öÔÈËÙÔ²ÖÜÔ˶¯£®£¨ÒÑÖªÖØÁ¦¼ÓËÙ¶ÈΪg£©

(1)Çóµç³¡Ç¿¶ÈEµÄ´óС£»

(2)Èô´øµçСÇòÔ˶¯Ò»¶¨Ê±¼äºóÇ¡Äܻص½Oµã£¬Çó´øµçСÇòÊÍ·Åʱ¾àMNµÄ¸ß¶Èh£»

(3)Èô´øµçСÇò´Ó¾àMNµÄ¸ß¶ÈΪ3hµÄO¡äµãÓɾ²Ö¹¿ªÊ¼ÏÂÂ䣬Ϊʹ´øµçСÇòÔ˶¯Ò»¶¨Ê±¼äºóÈÔÄܻص½O¡äµã£¬Ð轫´Å³¡¢òÏòÏÂÒÆ¶¯Ò»¶¨¾àÀëy£¨ÈçͼÒÒËùʾ£©£¬Çó´Å³¡¢òÏòÏÂÒÆ¶¯µÄ¾àÀëy¼°Ð¡Çò´ÓO¡äµãÊͷŵ½µÚÒ»´Î»Øµ½O¡äµãµÄʱ¼äT¡£

½âµÃ£º        ---------£¨1·Ö£©

£¨3£©µ±´øµçСÇò´Ó¾àMNµÄ¸ß¶ÈΪ3hµÄO'µãÓɾ²Ö¹¿ªÊ¼ÏÂÂäʱ£¬Ó¦ÓУº

    ---------£¨2·Ö£©       ------------£¨2·Ö£©

       »­³öÁ£×ÓµÄÔ˶¯¹ì¼££¬ÈçÓÒͼËùʾ£¬ÔÚÖмäÔÈËÙÖ±ÏßÔ˶¯¹ý³ÌÖУ¬Á£×ÓµÄËÙ¶È·½ÏòÓëÊúÖ±·½Ïò³É30¡ã½Ç£¬¸ù¾Ý¼¸ºÎ¹ØÏµ£¬¿ÉµÃ£º

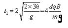
--------£¨1·Ö£©

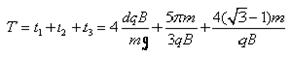
Á£×Ó×ÔÓÉÂäÌåºÍÊúÖ±ÉÏÅ×µÄ×Üʱ¼ä£º  ----£¨1·Ö£©

Á£×ÓÔ²ÖÜÔ˶¯µÄ×Üʱ¼ä£º   -----------£¨1·Ö£©

Á£×ÓÔÈËÙÖ±ÏßÔ˶¯µÄ×Üʱ¼ä£º --------£¨1·Ö£©

Ò»¸öÀ´»ØµÄ×Üʱ¼ä£º--------£¨1·Ö£©

Á·Ï°²áϵÁдð°¸
Ïà¹ØÌâÄ¿

Î¥·¨ºÍ²»Á¼ÐÅÏ¢¾Ù±¨µç»°£º027-86699610 ¾Ù±¨ÓÊÏ䣺58377363@163.com

¾«Ó¢¼Ò½ÌÍø