题目内容
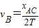
在验证机械能守恒定律的实验中,质量m=200g 的重锤拖着纸带由静止开始下落,在下落过程中,打点计时器在纸带上打出一系列的点.在纸带上选取三个相邻计数点A、B和C,相邻计数点时间间隔为0.100s,O为重锤开始下落时记录的点,各计数点到O点的距离如图所示,长度单位是cm,当地重力加速度g为9.80m/s2.(1)打点计时器打下计数点B时,重锤下落的速度vB= m/s(保留三位有效数字);
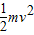
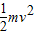
(2)从打下计数点O到打下计数点B的过程中,重锤重力势能减小量△Ep= J,重锤动能增加量△EK= J(保留三位有效数字);
(3)即使在实验操作规范,数据测量及数据处理均正确的前提下,该实验求得的△Ep通常略大于△Ek,这是由于实验存在系统误差,该系统误差产生的主要原因是: .
【答案】分析:实验原理是:比较减少的重力势能和增加的动能之间的关系,减少的定能:mgh,增加的动能:
,其中v可在纸带上求出,正常情况下:减少的重力势能要大于增加的动能,原因是:在重锤下落过程中系统受到阻力的影响,重锤机械能减小.
解答:解:(1)B点时AC两点的中间时刻:
=
=2.91m/s
(2)重锤重力势能减小量:△Ep=mgh=0.2×10×0.4368=0.856J
重锤动能增加量△EK=
=
=0.847J
(3)减少的重力势能要大于增加的动能,原因是:在重锤下落过程中系统受到阻力的影响,重锤机械能减小.(阻力主要是:纸带与打点计时器之间的摩擦以及空气阻力)
故答案为:(1)2.91
(2)0.856;0.847
(3)在重锤下落过程中系统受到阻力的影响,重锤机械能减小.
点评:纸带的处理在高中实验中用到多次,需要牢固的掌握.实验原理是比较减少的重力势能和增加的动能之间的关系,围绕实验原理记忆实验过程和出现误差的原因.
解答:解:(1)B点时AC两点的中间时刻:
(2)重锤重力势能减小量:△Ep=mgh=0.2×10×0.4368=0.856J
重锤动能增加量△EK=
(3)减少的重力势能要大于增加的动能,原因是:在重锤下落过程中系统受到阻力的影响,重锤机械能减小.(阻力主要是:纸带与打点计时器之间的摩擦以及空气阻力)
故答案为:(1)2.91
(2)0.856;0.847
(3)在重锤下落过程中系统受到阻力的影响,重锤机械能减小.
点评:纸带的处理在高中实验中用到多次,需要牢固的掌握.实验原理是比较减少的重力势能和增加的动能之间的关系,围绕实验原理记忆实验过程和出现误差的原因.
练习册系列答案
相关题目