ÌâÄ¿ÄÚÈÝ

ÈçͼËùʾ£¬Ò»¸ù³¤0.1mµÄϸÏߣ¬Ò»¶Ëϵ×ÅÒ»¸öÖÊÁ¿ÊÇ0.18kgµÄСÇò£¬À­×¡ÏßµÄÁíÒ»¶Ë£¬Ê¹ÇòÔڹ⻬µÄˮƽ×ÀÃæÉÏ×öÔÈËÙÔ²ÖÜÔ˶¯£®µ±Ð¡ÇòµÄתËÙÔö¼Óµ½Ô­×ªËÙ3±¶Ê±£¬Ï¸Ïß¶ÏÁÑ£¬Õâʱ²âµÃÏßµÄÀ­Á¦±ÈÔ­À´´ó40N£®

Çó£º

Éè¶ÏÁÑʱСÇòµÄËÙ¶È·½ÏòÓë×À×Ó±ßÔµ´¹Ö±£®

(1)Ïß¶ÏÁѵÄ˲¼ä£¬ÏßµÄÀ­Á¦£»

(2)ÕâʱСÇòÔ˶¯µÄÏßËÙ¶È£»

(3)Èç¹û×ÀÃæ¸ß³öµØÃæ0.8Ã×£¬Ï߶ϺóСÇò·É³öÈ¥ÂäÔÚÀë×À±ßµÄˮƽ¾àÀëΪ¶àÉٵĵط½£¿

´ð°¸£ºÂÔ
½âÎö£º

(1)Ïß¶ÏÁÑʱµÄÀ­Á¦Îª45N£»(2)¶ÏÁÑʱСÇòµÄÏßËÙ¶ÈΪ£»(3)СÇòÂ䵨µãÀë×À×Ó±ßÔµµÄˮƽ¾àÀëΪ£®

(1)ÉèСÇò³õʼת¶¯µÄ½ÇËÙ¶ÈΪ¦Ø£¬ÉþµÄÀ­ÎªF£¬Ôò

¡¡¡¡¡¡¡¡¢Ù

½ÇËÙ¶ÈÓëתËÙ³ÉÕý±È£º¦Ø=2¦Ðn

½ÇÔö¼Óµ½Ô­À´µÄ3±¶Ê±£º¡¡¡¡¢Ú

½âµÃF=5N£¬F£«40=45N

¶ÏÁÑʱϸÏßµÄÀ­Á¦

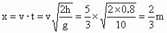
(2)ÓÉF=5N´úÈë¢ÙµÃ£º£¬

(3)ÇòÀ뿪ÉþÑØÔ²ÇÐÏ߷ɳö£¬Ëæºó´Ó×À×Ó±ßÔµ´¦×öƽÅ×Ô˶¯£¬Ôò


Á·Ï°²áϵÁдð°¸
Ïà¹ØÌâÄ¿

Î¥·¨ºÍ²»Á¼ÐÅÏ¢¾Ù±¨µç»°£º027-86699610 ¾Ù±¨ÓÊÏ䣺58377363@163.com

¾«Ó¢¼Ò½ÌÍø