题目内容
民族运动会上有一个骑射项目,运动员骑在奔驶的马背上,弯弓放箭射击侧向的固定目标。假设运动员骑马奔驰的速度为v1,运动员静止时射出的弓箭速度为v2。跑道离固定目标的最近距离为d。要想在最短的时间内射中目标,则运动员放箭处离目标的距离应该为( )
A.
B.
C.
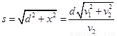
D.![]()
【答案】
B
【解析】
试题分析:当放出的箭垂直于马的运动方向时,运动时间最短,所以最短时间
,则箭在沿马运动方向上的位移为
,所以放箭处距离目标的距离为
,故选项B正确.
考点:本题考查了运动的合成与分解在实际生活中的应用.
练习册系列答案
相关题目
| A、运动员骑马奔驰时应该瞄准靶心放箭 | ||||
B、运动员应该在距离A点为
| ||||
C、箭射到靶的最短时间为
| ||||
D、箭射到靶的最短时间为
|