题目内容
如图所示,用单摆测重力加速度,其中L、d、n、t分别表示实验时已测得的数据.根据这些数据可以算出:
| 悬线长度(m) | 摆球直径(m) | 全振动次数 | 完成n次全振动的时间(s) |
| L | d | n | t |
(2)单摆的周期T=______;
(3)当地的重力加速度g=______.
【答案】分析:单摆的摆长等于悬线长度加摆球的半径.单摆振动的周期T=
.根据单摆的周期公式求解重力加速度g.
解答:解:(1)单摆的摆长l=L+
;
(2)单摆一次全振动的时间为一个周期,则单摆的周期为T=
;
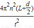
(3)由单摆的周期公式T=2
得
g=
=
故答案为:(1)L+
;(2)
;(3)
.
点评:单摆的摆长不等于摆线的长度,应等于摆线的长度与摆球半径之和.单摆的周期采用累积法测量,不能将振动一次的时间作为单摆的周期,这样误差较大.
解答:解:(1)单摆的摆长l=L+
(2)单摆一次全振动的时间为一个周期,则单摆的周期为T=
(3)由单摆的周期公式T=2
g=
故答案为:(1)L+
点评:单摆的摆长不等于摆线的长度,应等于摆线的长度与摆球半径之和.单摆的周期采用累积法测量,不能将振动一次的时间作为单摆的周期,这样误差较大.
练习册系列答案
相关题目