题目内容

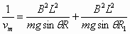
如图,MN、PQ两条平行的光滑金属轨道与水平面成30°角固定,轨距为L=1 m,质量为m的金属杆ab水平放置在轨道上,其阻值忽略不计.空间存在匀强磁场,磁场方向垂直于轨道平面向上,磁感应强度为B=0.5 T.P、M间接有阻值R1的定值电阻,Q、N间接变阻箱R.现从静止释放ab,改变变阻箱的阻值R,测得最大速度为vm,得到的关系如图所示.若轨道足够长且电阻不计,重力加速度g取10 m/s2.求:

(1)金属杆的质量m和定值电阻的阻值R1

(2)当变阻箱R取4 Ω时,且金属杆ab运动的加速度为gsin时,此时金属杆ab运动的速度;

(3)当变阻箱R取4 Ω时,且金属杆ab运动的速度为时,定值电阻R1消耗的电功率.

答案:
解析:

  (1)(5分)总电阻为RR1R/(R1R);IBLv/R

  当达到最大速度时金属棒受力平衡.mgsinBIL=,根据图像代入数据,可以得到棒的质量m=0.1 kg,R=1 Ω

  (2)(5分)金属杆ab运动的加速度为gsin时,BL/R

  根据牛顿第二定律FmamgsinBLma

  mgsinmgsin,代入数据,得到=0.8 m/s

  (3)(4分)当变阻箱R取4 Ω时,根据图像得到vm=1.6 m/s,


练习册系列答案
相关题目

违法和不良信息举报电话:027-86699610 举报邮箱:58377363@163.com

精英家教网