题目内容

一质上点做直线运动的v-t图象如图所示,则

(1)质点在0~1s内做_____运动,速度变化量为_____m/s,加速度为_____

(2)质点在1~3s内做_____运动,速度变化量为_____m/s,加速度为______

(3)质点在3~4s内做_____运动,速度变化量为_____m/s,加速度为______

(4)质点在1~4s内做_____运动,速度变化量为______m/s,加速度为______

答案:匀加速直线,4,4;匀速直线,-4,-2;匀加速直线,-2,-2;匀变速直线,-6,-2
解析:

匀加速直线,44;匀速直线,-4,-2;匀加速直线,-2,-2;匀变速直线,-6,-2

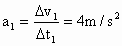
(1)质点在01s内做匀加速直线运动,速度变化量为

,加速度

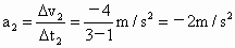
(2)13s内做匀减速直线运动,速度变化量,加速度

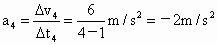
(3)34s内做匀减速直线运动,速度变化量

,加速度

(4)14s内做匀减速直线运动,速度变化量

,加速度

要注意理解vt图象的含义,掌握根据速度图象判断运动规律、运动方向、加速度方向及求加速度的方法.注意从题结果体会速度变化量和加速度的不同,此外14s这整段运动的加速度并未变化.


练习册系列答案
相关题目

(1) .某同学在测定匀变速直线运动的加速度时,得到了几条较为理想的纸带,已知在每条纸带每5个计时点取好一个计数点,两个计数点之间的时间间隔为0.1s,依打点时间顺序编号为0、1、2、3、4、5,由于不小心,纸带被撕断了,如下图所示.请根据给出的A、B、C、D四段纸带回答(计算结果保留两位有效数字):

①在B、C、D三段纸带中选出从纸带A上撕下的那段应是______.
②打A纸带时,物体的加速度大小是___________.
③点1的速度大小是_____________.
(2).关于打点计时器的使用,下列说法中正确的是(       ).
(A)打点计时器应用低压交流电源,交流电频率为50Hz
(B)纸带穿过限位孔,并必须把纸带压在复写纸的上面
(C)要先通电,后释放纸带,纸带通过后立即切断电源
(D)为减小摩擦,每次测量应先将纸带理顺
(3) .一个实验小组在“探究弹力和弹簧伸长的关系”的实验中,使用两条不同的轻质弹簧a和b,得到弹力与弹簧长度的图象如图所示。下列表述正确的是(   )

A.a的原长比b的长
B.a的劲度系数比b的大
C.a的劲度系数比b的小
D.测得的弹力与弹簧的长度成正比
(4).某同学做“验证力的平行四边形定则”实验时,主要步骤是:
A.在桌上放一块方木板,在方木板上铺一张白纸,用图钉把白纸钉在方木板上
B.用图钉把橡皮条的一端固定在板上的A点,在橡皮条的另一端拴上两条细绳,细绳的另一端系着绳套
C.用两个弹簧秤分别钩住绳套,互成角度地拉橡皮条,使橡皮条伸长,结点到达某一位置O.记录下O点的位置,读出两个弹簧秤的示数
D.按选好的标度,用铅笔和刻度尺作出两只弹簧秤的拉力F1和F2的图示,并用平行四边形定则求出合力F
E.只用一只弹簧秤,通过细绳套拉橡皮条使其伸长,读出弹簧秤的示数,记下细绳的方向,按同一标度作出这个力的图示
F.比较力和F的大小和方向,看它们是否相同,得出结论。
上述步骤中:①有重要遗漏的步骤的序号是                             
②遗漏的内容分别是                                           

(1) .某同学在测定匀变速直线运动的加速度时,得到了几条较为理想的纸带,已知在每条纸带每5个计时点取好一个计数点,两个计数点之间的时间间隔为0.1s,依打点时间顺序编号为0、1、2、3、4、5,由于不小心,纸带被撕断了,如下图所示.请根据给出的A、B、C、D四段纸带回答(计算结果保留两位有效数字):

①在B、C、D三段纸带中选出从纸带A上撕下的那段应是______.

②打A纸带时,物体的加速度大小是___________.

③点1的速度大小是_____________.

(2).关于打点计时器的使用,下列说法中正确的是(       ).

(A)打点计时器应用低压交流电源,交流电频率为50Hz

(B)纸带穿过限位孔,并必须把纸带压在复写纸的上面

(C)要先通电,后释放纸带,纸带通过后立即切断电源

(D)为减小摩擦,每次测量应先将纸带理顺

(3) .一个实验小组在“探究弹力和弹簧伸长的关系”的实验中,使用两条不同的轻质弹簧a和b,得到弹力与弹簧长度的图象如图所示。下列表述正确的是(   )

A.a的原长比b的长

B.a的劲度系数比b的大

C.a的劲度系数比b的小

D.测得的弹力与弹簧的长度成正比

(4).某同学做“验证力的平行四边形定则”实验时,主要步骤是:

A.在桌上放一块方木板,在方木板上铺一张白纸,用图钉把白纸钉在方木板上

B.用图钉把橡皮条的一端固定在板上的A点,在橡皮条的另一端拴上两条细绳,细绳的另一端系着绳套

C.用两个弹簧秤分别钩住绳套,互成角度地拉橡皮条,使橡皮条伸长,结点到达某一位置O.记录下O点的位置,读出两个弹簧秤的示数

D.按选好的标度,用铅笔和刻度尺作出两只弹簧秤的拉力F1和F2的图示,并用平行四边形定则求出合力F

E.只用一只弹簧秤,通过细绳套拉橡皮条使其伸长,读出弹簧秤的示数,记下细绳的方向,按同一标度作出这个力的图示

F.比较力和F的大小和方向,看它们是否相同,得出结论。

上述步骤中:①有重要遗漏的步骤的序号是                             

②遗漏的内容分别是