题目内容
A.3t时刻的瞬时功率为
B.3t时刻的瞬时功率为
C.从t=0到3t这段时间内,水平力的平均功率为
D.从t=0到3t这段时间内,水平力的平均功率为
【答案】分析:A、根据牛顿第二定律,求出3t时刻的速度,然后根据P=Fv求出3t时刻的瞬时功率.
C、根据动能定理,求出从t=0到3t这段时间内,水平力所做的功,然后根据
求出水平力的平均功率.
解答:解:A、在0-2t时间内,a=
,则2t时刻的瞬时速度v1=a?2t=2at,在2t-3t时间内,a′=
,则3t时刻的瞬时速度v=v1+a′t=
.所以3t时刻的瞬时功率P=
.故A错误,B正确.
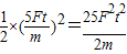
C、根据动能定理得,W=
=
.则
.故C错误,D正确.
故选BD.
点评:解决本题的关键掌握瞬时功率的公式P=Fvcosθ,以及平均功率的公式
.
C、根据动能定理,求出从t=0到3t这段时间内,水平力所做的功,然后根据
解答:解:A、在0-2t时间内,a=
C、根据动能定理得,W=
故选BD.
点评:解决本题的关键掌握瞬时功率的公式P=Fvcosθ,以及平均功率的公式
练习册系列答案
相关题目
| A、0~t1内拉力逐惭减小 | ||
| B、0~t1内拉力对物体做负功 | ||
| C、在t1~t2时间内拉力的功率为零 | ||
D、在t1~t2时间内合外力做功
|