题目内容
一质点从静止开始做匀加速直线运动,第2秒内位移为x,其加速度为( )A.
B.
C.
D.
【答案】分析:根据初速度为0的匀加速直线运动的位移时间关系求解即可.
解答:解:令质点的加速度为a,则有质点在第2s内的位移=质点在前2s内的位移-第1s内的位移
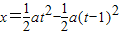
则根据题意有:△
代入△x=x,t=2s得:

解得:a=
故选D.
点评:熟悉初速度为0的匀变速直线运动位移时间关系,知道第2s的位移为质点运动后的第2个1s内的位移是解决本题的关键.
解答:解:令质点的加速度为a,则有质点在第2s内的位移=质点在前2s内的位移-第1s内的位移
则根据题意有:△
代入△x=x,t=2s得:
解得:a=
故选D.
点评:熟悉初速度为0的匀变速直线运动位移时间关系,知道第2s的位移为质点运动后的第2个1s内的位移是解决本题的关键.
练习册系列答案
相关题目
一质点从静止开始做匀加速运动.从开始运动起,通过连续三段位移所经历的时间依次为T、1.5T、2T,则这三段位移的大小之比为( )
| A、1:2:3 | B、4:21:56 | C、1:4:9 | D、1:8:27 |