题目内容

(10分)已知O、A、B、C为同一直线上的四点、AB间的距离为l1,BC间的距离为l2,一物体自O点由静止出发,沿此直线做匀加速运动,依次经过A、B、C三点,已知物体通过AB段与BC段所用的时间相等。

求O与A的距离。

 

【答案】

【解析】

试题分析:设物体的加速度为a,到达A的速度为v0,通过AB段和BC段所用的时间为t,

则有

联立以上两式得

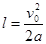
设O与A的距离为,则有

将a、v0代入上式化简得l=

考点:匀变速直线运动规律的应用。

 

练习册系列答案
相关题目

违法和不良信息举报电话:027-86699610 举报邮箱:58377363@163.com

精英家教网