ÌâÄ¿ÄÚÈÝ

ijʵÑéС×éÔÚ×ö¡°ÑéÖ¤»úеÄÜÊØºã¶¨ÂÉ¡±ÊµÑéÖУ¬Ìá³öÁËÈçͼËùʾµÄ¼×¡¢ÒÒÁ½ÖÖ·½°¸£º¼×·½°¸ÎªÓÃ×ÔÓÉÂäÌåÔ˶¯½øÐÐʵÑ飬ÒÒ·½°¸ÎªÓÃС³µÔÚÐ±ÃæÉÏÏ»¬½øÐÐʵÑé¡£

(1)×éÄÚͬѧ¶ÔÁ½ÖÖ·½°¸½øÐÐÁËÉîÈëµÄÌÖÂÛ·ÖÎö£¬×îÖÕÈ·¶¨ÁËÒ»¸ö´ó¼ÒÈÏΪÎó²îÏà¶Ô½ÏСµÄ·½°¸ÄãÈÏΪ¸ÃС×éÑ¡ÔñµÄ·½°¸ÊÇ___£¬ÀíÓÉÊÇ______________________________________¡£

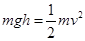
(2)Èô¸ÃС×é²ÉÓÃͼ¼×µÄ×°Öôò³öÁËÒ»ÌõÖ½´øÈçͼËùʾ£¬ÏàÁÚÁ½µãÖ®¼äµÄʱ¼ä¼ä¸ôΪ0.02 s£¬Çë¸ù¾ÝÖ½´ø¼ÆËã³öBµãµÄËÙ¶È´óСΪ________m/s¡£(½á¹û±£ÁôÈýλÓÐЧÊý×Ö)

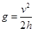
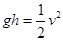
(3)¸ÃС×éÄÚͬѧ¸ù¾ÝÖ½´øËã³öÁËÏàÓ¦µãµÄËÙ¶È£¬×÷³öv2£­hͼÏßÈçͼËùʾ£¬Çë¸ù¾ÝͼÏß¼ÆËã³öµ±µØµÄÖØÁ¦¼ÓËÙ¶Èg£½________m/s2¡£(½á¹û±£ÁôÁ½Î»ÓÐЧÊý×Ö)

 

 

¡¾´ð°¸¡¿

£¨1£©¼×   С³µÔÚÐ±ÃæÏ»¬ÓÐĦ²ÁÁ¦×ö¸º¹¦£¬»úеÄܲ»Êغ㣨2£©1.37  £¨3£©9.75¡À0.10 

¡¾½âÎö¡¿

ÊÔÌâ·ÖÎö£º£¨1£©»úеÄÜÊØºãµÄÌõ¼þÊÇÖ»ÓÐÖØÁ¦»òϵͳÄڵĵ¯»Éµ¯Á¦×ö¹¦£¬ËùÒÔʵÑéÉè¼Æ¾ÍÒªÅųý³ýÖØÁ¦ÍâµÄÆäËûÁ¦×ö¹¦ÒÒ·½°¸ÖеÄĦ²ÁÁ¦×ö¸º¹¦»áµ¼ÖÂʵÑéʧ°Ü¡££¨2£©Í¼¼×Ϊ×ÔÓÉÂäÌåÔ˶¯£¬ÊÇÔȱäËÙÔ˶¯£¬Öмäʱ¿ÌµÄËٶȵÈÓÚÆ½¾ùËÙ¶È¡£ËùÒÔBµãµÄ˲ʱËٶȵÈÓÚACµÄƽ¾ùËÙ¶È£¬¡££¨3£©¸ù¾Ý»úеÄÜÊØºã¶¨ÂÉ£¬ÕûÀí¾ÍÊÇ£¬£¬ËùÒÔÖØÁ¦¼ÓËٶȾ͵ÈÓÚͼÏñбÂʵÄÒ»°ë

¿¼µã£º»úеÄÜÊØºã  ÔȱäËÙÔ˶¯Ë²Ê±ËٶȵļÆËã

 

Á·Ï°²áϵÁдð°¸
Ïà¹ØÌâÄ¿
£¨2011?ÄϾ©Ò»Ä££©Ä³ÊµÑéС×éÔÚ×ö¡°ÑéÖ¤»úеÄÜÊØºã¶¨ÂÉ¡°ÊµÑéÖУ¬Ìá³öÁËÈçͼËùʾµÄ¼×¡¢ÒÒÁ½ÖÖ·½°¸£º¼×·½°¸ÎªÓÃ×ÔÓÉÂäÌåÔ˶¯½øÐÐʵÑ飬ÒÒ·½°¸ÎªÓÃС³µÔÚÐ±ÃæÉÏÏ»¬½øÐÐʵÑ飮
£¨1£©×éÄÚͬѧ¶ÔÁ½ÖÖ·½°¸½øÐÐÁËÉîÈëµÄÌÖÂÛ·ÖÎö£¬×îÖÕÈ·¶¨ÁËÒ»¸ö´ó¼ÒÈÏΪÎó²îÏà¶Ô½ÏСµÄ·½°¸£¬ÄãÈÏΪ¸ÃС×éÑ¡ÔñµÄ·½°¸ÊÇ
¼×ͼ
¼×ͼ
£¬ÀíÓÉÊÇ£º
²ÉÓÃÒÒͼʵÑéʱ£¬ÓÉÓÚС³µÓëÐ±Ãæ¼ä´æÔÚĦ²ÁÁ¦µÄ×÷Óã®ÇÒ²»ÄܺöÂÔ£¬ËùÒÔС³µÔÚÏ»¬µÄ¹ý³ÌÖлúеÄܲ»Êغ㣬¹ÊÒÒͼ²»ÄÜÓÃÓÚÑéÖ¤»úеÄÜÊØºã
²ÉÓÃÒÒͼʵÑéʱ£¬ÓÉÓÚС³µÓëÐ±Ãæ¼ä´æÔÚĦ²ÁÁ¦µÄ×÷Óã®ÇÒ²»ÄܺöÂÔ£¬ËùÒÔС³µÔÚÏ»¬µÄ¹ý³ÌÖлúеÄܲ»Êغ㣬¹ÊÒÒͼ²»ÄÜÓÃÓÚÑéÖ¤»úеÄÜÊØºã
£®
£¨2£©Èô¸ÃС×é²ÉÓÃͼ¼×µÄ×°Öôò³örÒ»ÌõÖ½´øÈçͼ±ûËùʾ£¬ÏàÁÚÁ½µãÖ®¼äµÄʱ¼äÎʸôΪ0.02s£¬Çë¸ù¾ÝÖ½´ø¼ÆËã³öBµãµÄËÙ¶È´óС
1.37
1.37
 m/s£¨½á¹û±£ÁôÈýλÓÐЧÊý×Ö£©
£¨3£©¸ÃС×éÄÚͬѧÃǸù¾ÝÖ½´øËã³öÁËÏàÓ¦µãµÄËÙ¶È£¬×÷³öv2-hͼÏßÈçͼ¶¡Ëùʾ£¬Çë¸ù¾ÝͼÏß¼ÆËã³öµ±µØµÄÖØÁ¦¼ÓËÙ¶Èg=
9.7¡«9.8
9.7¡«9.8
m/s2£¨½á¹û±£ÁôÁ½Î»ÓÐЧÊý×Ö£©£®
£¨2011?ÖØÇìһ죩£¨1£©Ä³ÊµÑéС×éÔÚ×ö¡°ÑéÖ¤»úеÄÜÊØºã¶¨ÂÉ¡±ÊµÑéʱ£¬ÓÐÈçϲÙ×÷²½Ö裺
A£®ÔÚÌú¼Ų̈ÉÏˮƽ¹Ì¶¨ºÃ´òµã¼ÆÊ±Æ÷£¬½«Á¬ÓÐÖØÎïµÄÖ½´øÊúÖ±´©¹ýÏÞλ¿×ÓÃÊÖÌáס£¬ÈÃÊÖ¾¡Á¿¿¿½ü´òµã¼ÆÊ±Æ÷£»
B£®ËÉ¿ªÖ½´ø£¬¸Ï½ô½ÓͨµçÔ´£¬¿ªÊ¼´òµã£¬Ëæºó´ÓÖØÎïÉÏÈ¡ÏÂÖ½´ø£»
C£®ÌôÑ¡µã¼£ÇåÎúµÄÖ½´ø£¬ÔÚÖ½´øÉÏѡȡÏà¸ô½ÏÔ¶µÄÁ½¸öµãa¡¢b×÷ΪÑéÖ¤µÄÁ½¸ö״̬£¬²â³öÕâÁ½¸öµãÖ®¼äµÄ¾àÀë¾ÍÊÇÕâÁ½¸ö״̬֮¼äÖØÎïÏÂÂäµÄ¸ß¶Èh£»
D£®ÒÔa×÷ΪÁ¬ÐøÈý¸ö²âÁ¿µãµÄÖмäµã£¬²âËã³ö¸ÃÈýµãÖÐÊ×βÁ½µãÖ®¼äµÄƽ¾ùËٶȾÍÊÇaµãµÄ˲ʱËÙ¶Èva£¬ÓÃͬÑùµÄ·½·¨£¬²â³öbµãµÄ˲ʱËÙ¶Èvb£»
E£®¼ÆËãÉÏÊöÁ½¸ö״̬֮¼äÖØÎﶯÄܵÄÔö¼ÓÁ¿
1
2
mvb2-
1
2
mva2£¬¼ÆËãÖØÎïÖØÁ¦ÊÆÄܵļõÉÙÁ¿mgh£¬±È½ÏËüÃǵĴóСÊÇ·ñÏàµÈ£®
¸ÃʵÑéС×éÔÚÉÏÊöʵÑé²½ÖèÖÐÓÐÁ½¸ö´íÎóµÄ²Ù×÷£¬Æä´íÎóµÄ²½ÖèºÍ´íÎóÊÇ£º
¢Ù
²½ÖèA´íÎó£®ÊÖÓ¦¸Ã¾¡Á¿Ô¶Àë´òµã¼ÆÊ±Æ÷
²½ÖèA´íÎó£®ÊÖÓ¦¸Ã¾¡Á¿Ô¶Àë´òµã¼ÆÊ±Æ÷
£»¢Ú
²½ÖèB´íÎó£®Ó¦¸ÃÏȽÓͨµçÔ´£¬ÔÙËÉ¿ªÖ½´ø
²½ÖèB´íÎó£®Ó¦¸ÃÏȽÓͨµçÔ´£¬ÔÙËÉ¿ªÖ½´ø
£®
£¨2£©ÏÂÃæÊǸÃС×é°´ÕýÈ·²Ù×÷ʱµÄÇé¿ö¼Ç¼£ºÒÑÖª´òµã¼ÆÊ±Æ÷ËùÓõçÔ´µÄƵÂÊΪ50Hz£¬ÖØÁ¦¼ÓËٶȽüËÆÈ¡g=10.00m/s2£¬´ÓʵÑé»ñµÃµÄÖ½´øÖÐѡȡһÌõµã¼£Çå³þÇÒ·ûºÏÒªÇóµÄÖ½´ø£¨Èçͼ£©£¬Èô°ÑµÚÒ»µã¼Ç×÷O£¬ÁíÑ¡ÔñÁ¬ÐøµÄÈý¸öµãB¡¢C¡¢D×÷Ϊ²âÁ¿µÄµã£¬¾­²âÁ¿B¡¢C¡¢Dµãµ½OµãµÄ¾àÀë·Ö±ðΪ70.18cm£¬77.00cm£¬85.18cm£®ÈôÖØÎïÖÊÁ¿Îª1kg£¬ÓÉ´Ë¿ÉÖªÖØÎïÔÚÖ½´ø´ò»÷Oµãµ½´ò»÷CµãµÄÔ˶¯¹ý³ÌÖУ¬ÖØÁ¦ÊÆÄܵļõСÁ¿Îª
7.70
7.70
J£»¶¯ÄܵÄÔö¼ÓÁ¿ÊÇ
7.03
7.03
J£®³ýÁË¿¼ÂÇgµÄȡֵ´øÀ´µÄÓ°ÏìÒÔÍ⣬ÄãÈÏΪµ¼ÖÂʵÑéÎó²îµÄÖ÷ÒªÔ­ÒòÊÇ
ÖØÎïºÍÖ½´ø¿Ë·þ×èÁ¦×ö¹¦ÏûºÄÁË»úеÄÜ
ÖØÎïºÍÖ½´ø¿Ë·þ×èÁ¦×ö¹¦ÏûºÄÁË»úеÄÜ
£®

£¨3£©Ä³Í¬Ñ§ÔÚ×ö¡¶×ÔÀ´Ë®µç×èÂʵIJⶨ¡·¿ÎÌâʱ£¬ÔÚÒ»¸ù¾ùÔȵij¤²£Á§¹ÜÁ½¶Ë¸÷×°ÁËÒ»¸öµç¼«£¬Æä¼ä³äÂú´ý²âµÄ×ÔÀ´Ë®£¬È»ºóÓÃÈçͼ¼×Ëùʾµç·½øÐвâÁ¿£®
¸ÃͬѧѡÓÃÆ÷²ÄÈçÏ£º
µçѹ±í£¨Á¿³Ì15V£¬ÄÚ×èÔ¼90k¦¸£©¡¢µçÁ÷±í£¨Á¿³Ì300¦ÌA£¬ÄÚ×èÔ¼50¦¸£©¡¢»¬¶¯±ä×èÆ÷£¨100¦¸£¬1A£©¡¢µç³Ø×飨µç¶¯ÊÆE=12V£¬ÄÚ×èr=6¦¸£©¡¢¿ª¹ØÒ»¸ö¡¢µ¼ÏßÈô¸É£®
ʵÑéÖвâÁ¿Çé¿öÈçÏ£º
°²×°Ç°ËûÓÃͼÒÒ£¨a£©µÄÓα꿨³ß²â²£Á§¹ÜµÄÄÚ¾¶£¬½á¹ûÈçͼÒÒ£¨b£©Ëùʾ£®²âµÃÁ½µç¼«Ïà¾àL=0.314m£®ÊµÑéÖвâµÃ°üÀ¨0ÔÚÄÚµÄ9×éµçÁ÷I¡¢µçѹUµÄÖµ£¬ÔÚ×ø±êÖ½ÉÏÃèµãÈçͼ±û£®
¸ù¾ÝÒÔÉϲÄÁϻشðÏÂÃæµÄÎÊÌ⣺
¢Ù²âÁ¿²£Á§¹ÜÄÚ¾¶Ê±£¬Ó¦½«Í¼ÒÒ£¨a£©Óα꿨³ßÖеÄA¡¢B¡¢CÈý²¿·ÖÖеÄ
A
A
Óë²£Á§¹ÜÄÚ±Ú½Ó´¥£»²£Á§¹ÜµÄÄÚ¾¶d=
30.75
30.75
mm£®
¢Ú¸ù¾ÝʵÑéÊý¾Ý¿ÉÖª¸Ãͬѧ²âµÃË®ÖùµÄµç×èR=
1.0¡Á105¦¸
1.0¡Á105¦¸
¦¸£¨±£ÁôÁ½Î»ÓÐЧÊý×Ö£©£»ÇëÓÃË®Öùµç×èR¡¢²£Á§¹ÜÄÚ¾¶d¡¢Ë®Öù³¤¶ÈL±íʾ×ÔÀ´Ë®µÄµç×èÂʦÑ=
¦ÐRd2
4L
¦ÐRd2
4L
£®
¢Û¸ù¾Ý²âµÃË®Öùµç×èÖµ¿É֪ʵÑéÖеç·Éè¼ÆµÄ²»Í×Ö®´¦ÊÇ
µçÁ÷±í²»Ó¦¸Ã²ÉÓÃÍâ½Ó£¨»òµçÁ÷±íÓ¦¸Ã²ÉÓÃÄÚ½Ó£©
µçÁ÷±í²»Ó¦¸Ã²ÉÓÃÍâ½Ó£¨»òµçÁ÷±íÓ¦¸Ã²ÉÓÃÄÚ½Ó£©
£¬ÇëÔÚ´ð¾íµÄÐéÏß¿òÖл­³ö¸Ä½øºóµÄµç·ͼ£®£¨µç·ͼÖÐÓÃRx±íʾ×ÔÀ´Ë®µÄµç×裩
£¨2013?±¦¼¦ÈýÄ££©Ä³ÊµÑéС×éÔÚ×ö¡°ÑéÖ¤Á¦µÄƽÐÐËıßÐζ¨Ôò¡±ÊµÑéʱ£¬Éè¼ÆµÄʵÑé²½ÖèÈçÏ£º
A£®ÔÚ×ÀÉÏ·ÅÒ»¿é·½Ä¾°å£¬ÔÚ·½Ä¾°åÉÏÆÌÒ»ÕŰ×Ö½£¬ÓÃͼ¶¤°Ñ°×Ö½¶¤ÔÚ·½Ä¾°åÉÏ£»
B£®ÓÃͼ¶¤°ÑÏðƤÌõµÄÒ»¶Ë¹Ì¶¨ÔÚ°åÉϵÄAµã£¬ÔÚÏðƤÌõµÄÁíÒ»¶ËË©ÉÏÁ½ÌõϸÉþ£¬Ï¸ÉþµÄÁíÒ»¶Ëϵ×ÅÁ½¸öÉþÌ×£»
C£®ÓÃÁ½¸öµ¯»É²âÁ¦¼Æ·Ö±ð¹´×¡ÉþÌ×£®»¥³É½Ç¶ÈµØÀ­ÏðƤÌõ£¬Ê¹ÏðƤÌõÉ쳤£¬½áµãµ½´ïijһλÖÃO£¬¼Ç¼OµãµÄλÖ㬼ÇÏÂÁ½ÉþµÄ·½Ïò£¬¶Á³öÁ½¸öµ¯»É²âÁ¦¼ÆµÄʾÊý£»
D£®°´Ñ¡ºÃµÄ±ê¶È£¬ÓÃǦ±ÊºÍ¿Ì¶È³ß×ö³öÁ½Ö»µ¯»É²âÁ¦¼ÆµÄÀ­Á¦F1ºÍF2µÄͼʾ£¬²¢ÓÃÆ½ÐÐËıßÐζ¨ÔòÇó³öºÏÁ¦F£»
E£®Ö»ÓÃÒ»Ö»µ¯»É²âÁ¦¼Æ£¬Í¨¹ýϸÉþÌ×À­ÏðƤÌõʹÆäÉ쳤£¬¶Á³öµ¯»É²âÁ¦¼ÆµÄʾÊý£¬¼ÇÏÂÉþµÄ·½Ïò£¬°´Í¬Ò»±ê¶È×ö³öÕâ¸öÁ¦F¡äµÄͼʾ£»
F£®±È½ÏF¡äºÍFµÄ´óСºÍ·½Ïò£¬¿´ËüÃÇÊÇ·ñÏàͬ£¬µÃ³ö½áÂÛ£®
£¨1£©ÉÏÊöʵÑé²½ÖèÖдæÔÚÖØÒªÒÅ©»ò´íÎ󣬯äÒÅ©»ò´íÎóÊÇ
²½ÖèEÖÐδ˵Ã÷°ÑÏðƤÌõµÄ½áµãÀ­µ½Î»ÖÃO
²½ÖèEÖÐδ˵Ã÷°ÑÏðƤÌõµÄ½áµãÀ­µ½Î»ÖÃO
£®
£¨2£©¸ÃʵÑéС×éÔÚÀÏʦµÄ°ïÖúÏÂÐÞ²¹ÁËÒÅ©»ò´íÎó£®²¢ÔÚij´ÎʵÑéÖУ¬ÓÃP¡¢QÁ½¸öµ¯»É²âÁ¦¼Æ·Ö±ð¹´×¡ÉþÌ×£¬»¥³É½Ç¶ÈµØ½«ÏðƤÌõÀ­µ½Oµã£¬ÈçͼËùʾ£®ÔڼнǦÁ²»±äµÄÇé¿öÏÂÖð½¥Ôö´óPµ¯»É²âÁ¦¼ÆµÄäÂÊýʱ£¬ÒªÊ¹ÏðƤÌõ½áµãλÖÃÈÔÈ»ÔÚOµã£¬¿É²ÉÈ¡µÄ´ëÊ©ÊÇ
A£®ÔÚÖð½¥Ôö´ó¦Â½ÇµÄͬʱÖð½¥Ôö´óQ²âÁ¦¼ÆµÄ¶ÁÊý
B£®ÔÚÖð½¥Ôö´ó¦Â½ÇµÄͬʱ£¬ÏÈÖð½¥¼õСQ²âÁ¦¼ÆµÄ¶ÁÊýºóÖð½¥Ôö´óQ²âÁ¦¼ÆµÄ¶ÁÊý
C£®ÔÚÖð½¥¼õС¦Â½ÇµÄͬʱÖð½¥Ôö´óQ²âÁ¦¼ÆµÄ¶ÁÊý
D£®ÔÚÖð½¥¼õС¦Â½ÇµÄͬʱ£¬ÏÈÖð½¥Ôö´óQ²âÁ¦¼ÆµÄ¶ÁÊýºóÖð½¥¼õСQ²âÁ¦¼ÆµÄ¶ÁÊý£®

Î¥·¨ºÍ²»Á¼ÐÅÏ¢¾Ù±¨µç»°£º027-86699610 ¾Ù±¨ÓÊÏ䣺58377363@163.com

¾«Ó¢¼Ò½ÌÍø