题目内容
如图所示,两个单摆A和B的摆长LA>LB,将它们都拉离竖直方向一个很小的角度θ然后释放,那么这两个摆球到达最低点时的速度υ的大小和经历时间t应满足( )A.υA>υB,tA>tB
B.υA>υB,tA<tB
C.υA<υB,tA<tB
D.υA<υB,tA>tB
【答案】分析:单摆的小角度摆动是简谐运动,根据周期公式比较时间;根据机械能守恒定律比较最低点速度.
解答:解:单摆的小角度摆动是简谐运动,根据周期公式T=2π
,摆长越长,周期越长,故tA>tB;
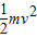
根据机械能守恒定律,有:mgl(1-cosθ)=
,解得:v=
,摆长越长,最低点速度越大,故υA>υB;
故选A.
点评:本题需明确两点:单摆的小角度摆动是简谐运动,摆动过程中机械能守恒.
解答:解:单摆的小角度摆动是简谐运动,根据周期公式T=2π
根据机械能守恒定律,有:mgl(1-cosθ)=
故选A.
点评:本题需明确两点:单摆的小角度摆动是简谐运动,摆动过程中机械能守恒.
练习册系列答案
相关题目
| A、υA<υB,tA<tB | B、υA<υB,tA>tB | C、υA>υB,tA>tB | D、υA>υB,tA<tB |
如图所示,两个单摆A和B,其摆长LA>LB,将它们都拉离竖直方向一个很小的角度
,然后由静止释放,那么两个球到达最低点时的速度大小与经历时间关系的多少为() ![]()
![]()
| A.vA>vB,tA>tB | B.vA<vB,tA<tB |
| C.vA>vB,tA<tB | D.vA<vB,tA>tB |