题目内容
用如图甲所示的实验装置验证机械能定恒定律.重锤由静止开始落下,重锤上拖着的纸带通过打点计时器打出一系列的点,对纸带上的点进行测量,即可验证机械能守恒定律.(1)下面列举了该实验的几个操作步骤:
A.按照图示装置安装好器材
B.将打点计时器接到直流电源上
C.先松开悬挂纸带的夹子,后接通电源打出一条纸带
D.根据测量的结果计算重锤下落过程中减少的重力势能是否等于增加的动能
指出其中没有必要进行的或者操作不恰当的步骤,将其选项对应的字母填写在下面的空行内.
______
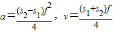
(2)利用这个装置可以测量下落的加速度的数值.如图乙所示,根据打出的纸带,选取纸带上打出的连续五个点A、B、C、D、E,测量出A点距打下的第一个点O距离为s,点A、C间的距离为s1、点C、E间的距离为s2,使用交流电的频率为f,则根据这些条件计算重锤下落的加速度的表达式为a=______,打点C时重锤的速度v=______.
【答案】分析:解决实验问题首先要掌握该实验原理,了解实验的仪器、操作步骤和数据处理以及注意事项,只有这样才能明确每步操作的具体含义.
利用匀变速直线运动的推理△x=aT2可以求出重锤下落的加速度大小.
解答:解:(1)B.将打点计时器接到直流电源上,打点计时器应接到交流电源上.
C.先松开悬挂纸带的夹子,后接通电源打出一条纸带,
开始记录时,应先给打点计时器通电打点,然后再释放重锤,让它带着纸带一同落下,如果先放开纸带让重物下落,再接通打点计时时器的电源,由于重物运动较快,不利于数据的采集和处理,会对实验产生较大的误差.
故选BC
(2)利用匀变速直线运动的推论△x=at2
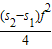
a=
=
利用匀变速直线运动的推论得
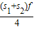
vC=
=
故答案为:(1)BC
(2)
点评:纸带问题的处理是力学实验中常见的问题.我们可以纸带法实验中,若纸带匀变速直线运动,测得纸带上的点间距,利用匀变速直线运动的推论,可计算出打出某点时纸带运动的瞬时速度和加速度.
利用匀变速直线运动的推理△x=aT2可以求出重锤下落的加速度大小.
解答:解:(1)B.将打点计时器接到直流电源上,打点计时器应接到交流电源上.
C.先松开悬挂纸带的夹子,后接通电源打出一条纸带,
开始记录时,应先给打点计时器通电打点,然后再释放重锤,让它带着纸带一同落下,如果先放开纸带让重物下落,再接通打点计时时器的电源,由于重物运动较快,不利于数据的采集和处理,会对实验产生较大的误差.
故选BC
(2)利用匀变速直线运动的推论△x=at2
a=
利用匀变速直线运动的推论得
vC=
故答案为:(1)BC
(2)
点评:纸带问题的处理是力学实验中常见的问题.我们可以纸带法实验中,若纸带匀变速直线运动,测得纸带上的点间距,利用匀变速直线运动的推论,可计算出打出某点时纸带运动的瞬时速度和加速度.
练习册系列答案
相关题目