题目内容

一个静止在水平面上的物体,质量是2kg,在水平方向受到5.0N的拉力,物体跟水平面的滑动摩擦力是2.0N。

1)求物体在4.0秒末的速度;

2)若在4秒末撤去拉力,求物体滑行时间。

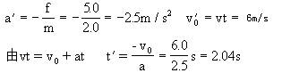
答案:6.0m/s;2.04s
解析:

确定研究对象,分析过程(画过程图),进行受力分析(画受力图)。

前4秒  根据牛顿第二定律列方程:水平方向  F-f=ma ,竖直方向  N-G=0

4秒后  竖直方向N-G=0,水平方向-f=ma′


提示:

这个题目就是根据已知的受力情况来求物体的运动情况。


练习册系列答案
相关题目

违法和不良信息举报电话:027-86699610 举报邮箱:58377363@163.com

精英家教网