题目内容

站立在地面上的质量分别为MM+m的两个人,分别拉住定滑轮两边的绳子往上爬.开始时,两人与定滑轮的距离都是h,如图所示,设滑轮和绳子的质量及滑轮轴处的摩擦均不计,且人施加于绳子的力恒定.

问:当质量小的人在时间t内爬到滑轮时,质量大的人与滑轮间的距离是多大?

答案:
解析:

  答案:(3分)

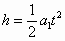
  (2分)

  M+m:T-(M+m)g=(M+m)a2(3分)

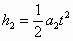
  (2分)

  (2分)


练习册系列答案
相关题目

违法和不良信息举报电话:027-86699610 举报邮箱:58377363@163.com

精英家教网