题目内容

如图所示,竖直放置的两块很大的平行金属板a、b,相距为d,ab间的电场强度为E,今有一带正电的微粒从a板下缘以初速度v0竖直向上射入电场,当它飞到b板时,速度大小不变,而方向变为水平方向,且刚好从高度也为d的狭缝穿过b板而进入bc区域,bc区域的宽度也为d,所加电场大小为E方向竖直向上,磁感强度方向垂直纸面向里,磁场大小等于E/v0 .求微粒从射入电场到离开磁场所用的时间.

求(1)粒子在ab区域的运动时间?

(2)粒子在bc区域的运动时间?

答案:
解析:

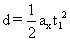
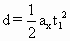
  解:(1)在ab区域做匀变速曲线运动

  水平方向匀加速直线

    

  竖直方向匀减速直线

     

  解得:Eq=mg

  在ab区域mg=Eq Bvq=

  


练习册系列答案
相关题目

违法和不良信息举报电话:027-86699610 举报邮箱:58377363@163.com

精英家教网