题目内容

(12分)如图所示为两组平行金属板,一组竖直放置,一组水平放置,今有一质量为m的电子静止在竖直放置的平行金属板的A点,经电压U0加速后,通过B点进入两板间距为d、电压为U的水平放置的平行金属板间,最后电子从右侧的两块平行金属板之间穿出,已知A、B分别为两块竖直板的中点,右侧平行金属板的长度为L,求:

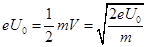
(1)电子通过B点时的速度大小V

(2) 电子从右侧的两块平行金属板之间穿出时的侧移距离y

 

【答案】

1625.75m

【解析】

试题分析:(1)  (2分)  (2分)

(2)  (2分)         (2分)

  (2分)          (2分)

考点:带电粒子在电场中加速运动、偏转运动,匀变速直线运动、运动的合成与分解。

 

练习册系列答案
相关题目

违法和不良信息举报电话:027-86699610 举报邮箱:58377363@163.com

精英家教网