题目内容

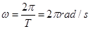
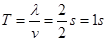
(1)如图所示一列沿x轴正方向传播的简谐横波在t = 0时刻的波形图,已知该列波的传播速度为2m/s,则x = 1.0m处的质点做简谐运动的位移—时间关系y=________________(IS)。

 

 

【答案】

【解析】

试题分析:波的周期,则,此波的振幅为0.05m,x = 1.0m处的质点t = 0时刻从平衡位置向上振动,所以做简谐运动的位移—时间关系为

考点:简谐振动与机械波。

 

练习册系列答案
相关题目

违法和不良信息举报电话:027-86699610 举报邮箱:58377363@163.com

精英家教网