题目内容
物体由静止开始做匀加速直线运动,测得它在第t秒内的位移为s,t秒末的速度为v,则物体的加速度为( )A.
B.
C.
D.
【答案】分析:根据匀变速直线运动位移时间公式表示出ns内的位移和(n-1)s的位移,则第n s内的位移等于两者之差,列出方程即可求解或是根据v=at也可求解.
解答:解:设物体的加速度为a,
由v=at可得,
,故A正确;
由
得
ts内的位移为
①
(t-1)的位移为
②
第t秒内的位移:s=x1-x2 ③
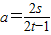
①②③联立得
故D正确B错误;
由
及v=at得:
,故C错误;
故选AD.
点评:本题主要考查了匀变速直线运动位移时间公式与速度与时间公式的应用,难度不大,属于基础题
解答:解:设物体的加速度为a,
由v=at可得,
由
ts内的位移为
(t-1)的位移为
第t秒内的位移:s=x1-x2 ③
①②③联立得
由
故选AD.
点评:本题主要考查了匀变速直线运动位移时间公式与速度与时间公式的应用,难度不大,属于基础题
练习册系列答案
相关题目