题目内容
一物体在地球表面上的重力为16N,它在以5m/s2的加速度加速上升的火箭中的示重9N,则此时火箭离地面的高度是地球半径R的( )A.2倍
B.3倍
C.4倍
D.0.5倍
【答案】分析:首先明白地球表面万有引力相当于重力,且没有特殊说明重力加速度用10m/s2计算;其次注意火箭的加速度是向上的,则对物体施加的总力为其重力和加速运动之和;最后根据万有引力公式变换求解即可.
解答:解:设地表重力加速度为g=10m/s,火箭中重力加速度为g1;万有引力常数为G;地球的质量为M,物体的质量为m,地球表面上的重力为F1,向上的加速度为a,此时示重9N为F,此时火箭离地面的高度为H;
据在地表万有引力相当于重力得 F1=mg=16N ①
②
在火箭中力与运动的关系为 F=9N=mg1+ma ③
④
联立①③并代入计算得 mg1=1N ⑤
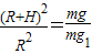
联立②④并代入数值得
=
最终得 H=3R
故则此时火箭离地面的高度是地球半径R的 3倍.
故选 B.
点评:此题考查有关万有引力的简单计算题,注重受力分析和万有引力结合的受力分析,注意重力加速度和火箭加速度的方向,灵活使用万有引力公式换算即可得到正确结果.此题为中档题.
解答:解:设地表重力加速度为g=10m/s,火箭中重力加速度为g1;万有引力常数为G;地球的质量为M,物体的质量为m,地球表面上的重力为F1,向上的加速度为a,此时示重9N为F,此时火箭离地面的高度为H;
据在地表万有引力相当于重力得 F1=mg=16N ①
在火箭中力与运动的关系为 F=9N=mg1+ma ③
联立①③并代入计算得 mg1=1N ⑤
联立②④并代入数值得
最终得 H=3R
故则此时火箭离地面的高度是地球半径R的 3倍.
故选 B.
点评:此题考查有关万有引力的简单计算题,注重受力分析和万有引力结合的受力分析,注意重力加速度和火箭加速度的方向,灵活使用万有引力公式换算即可得到正确结果.此题为中档题.
练习册系列答案
相关题目