题目内容

(10分)《愤怒的小鸟》是一款时下非常流行的游戏,故事也相当有趣,如图甲,为了报复偷走鸟蛋的肥猪们,鸟儿以自己的身体为武器,如炮弹般弹射出去攻击肥猪们的堡垒.某班的同学们根据自己所学的物理知识进行假设:小鸟被弹弓沿水平方向弹出,如图乙所示,其中h1=0.8m,l1=2m,h2=2.4m,l2=1m,请回答下面两位同学提出的问题(取g=10m/s2):

(1)A同学问:如图乙所示,小鸟以多大速度水平弹出刚好擦着台面草地边缘落在地面上?

(2)B同学问:如图乙所示,小鸟飞出能否直接打中肥猪?请用计算结果进行说明.

 

【答案】

(1)5m/s  (2)小鸟飞出不能直接打中肥猪

【解析】

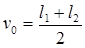
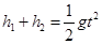
试题分析:(1)由题意下落高度   (1分)

水平分位移    (1分)

解得=5m/s    (1分)

(2)小鸟飞出不能直接打中肥猪   (1分)

方法1:设小鸟以v0弹出能直接击中堡垒,则

    (1分)

    (1分)

解得:=0.8s     (1分)

=3.75m/s     (1分)

考虑h1高度的水平射程为X

        

    1分)

解得=1.5m< L1     (1分)

可见小鸟先落在台面的草地上,不能直接击中堡垒

方法2:若小鸟以V0弹出刚好擦着台面的草地落在地面的草地上,设它在地面的草地的水平射程为x,则: …(2分)

,    (2分)

得:,所以打不到肥猪   (2分)

考点:本题考查平抛运动的规律。

 

练习册系列答案
相关题目

违法和不良信息举报电话:027-86699610 举报邮箱:58377363@163.com

精英家教网