题目内容
如图所示,一理想变压器原线圈匝数n1=1100匝,副线圈匝数n2=220匝,交流电源的电压u=220A.交流电的频率为50Hz
B.V的示数约为44V
C.A2的示数约为1.4A
D.A1的示数约为0.176A
【答案】分析:根据电压与匝数成正比,电流与匝数成反比,逐项分析即可得出结论.
解答:解:A、交流电的频率f=
,故A错误;
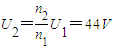
B、电压表的示数为
,故B正确;
C、电流表A2的示数为
,故C错误;
D、根据原副线圈的电流与匝数成反比可以求得原线圈的电流为
,故D正确;
故选BD
点评:考查交流电的表达式中各量的物理意义,明确电表的示数为有效值,最大值与有效值之间的关系.
解答:解:A、交流电的频率f=
B、电压表的示数为
C、电流表A2的示数为
D、根据原副线圈的电流与匝数成反比可以求得原线圈的电流为
故选BD
点评:考查交流电的表达式中各量的物理意义,明确电表的示数为有效值,最大值与有效值之间的关系.
练习册系列答案
相关题目